Хімія - універсальний довідник
ХІМІЧНИЙ ПРОЦЕС
РЕАКЦІЇ ЗІ ЗМІНОЮ СТУПЕНІВ ОКИСНЕННЯ ЕЛЕМЕНТІВ
АКУМУЛЯТОР
Акумулятор — гальванічний елемент, у якому електрична енергія перетворюється в хімічну, а в міру необхідності акумульована хімічна енергія перетворюється в електричну.
У свинцевому акумуляторі (рис. 41) електродами є свинець і оксид плюмбуму (IV); електроліт — сульфатна кислота:
![]()

Рис. 41. Схема роботи свинцевого кислотного акумулятора при розрядці (а) і зарядці (б).
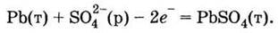
На катоді оксид плюмбуму (IV) відновлюється:

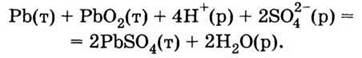
Сумарний процес відповідає рівнянню реакції:

У процесі зарядки акумулятора зовнішнім джерелом струму відбуваються зворотні процеси, які відповідають сумарному рівнянню

У результаті РbSO4 перетворюється в Рb на одному електроді й у РbO2 на другому електроді. Внаслідок цього утворюється сульфатна кислота.
Перша публікація: 01/01/2008
Останнє оновлення: 31/12/2023
Редакційна та навчальна адаптація: Даний матеріал зведено на основі першоджерела/оригінального тексту. Команда проєкту здійснила редакційне оглядове опрацювання, виправлення технічних неточностей, структурування розділів та адаптацію змісту до навчального формату.
Що було опрацьовано:
- усунення форматних дефектів (OCR-помилки, розриви структури, дефектні символи);
- редакційне упорядкування змісту;
- уніфікація термінів відповідно до академічних джерел;
- перевірка відповідності фактичних тверджень тексту першоджерела.
Усі згадки про автора, рік видання та походження первинного тексту збережено відповідно до джерела.