Хімія - універсальний довідник
ХІМІЧНИЙ ПРОЦЕС
РЕАКЦІЇ ЗІ ЗМІНОЮ СТУПЕНІВ ОКИСНЕННЯ ЕЛЕМЕНТІВ
ПАЛИВНИЙ ЕЛЕМЕНТ
Паливний елемент — гальванічний елемент, у якому окисно-відновна реакція підтримується безперервною подачею реагентів (окисника і відновника) та видаленням продуктів реакції.
У воднево-кисневому елементі (рис. 40) в електричну енергію перетворюється енергія хімічної реакції
![]()

Рис. 40. Схема паливного елемента.
Електроліт — розчин лугу.
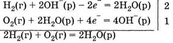
На аноді відбувається окиснення водню (відновник Н2):
![]()
На катоді відбувається відновлення кисню (окисник O2) за рахунок електронів, що переходять від анода до катода:
![]()
Сумарна реакція процесу у воднево-кисневому паливному елементі:

Перша публікація: 01/01/2008
Останнє оновлення: 31/12/2023
Редакційна та навчальна адаптація: Даний матеріал зведено на основі першоджерела/оригінального тексту. Команда проєкту здійснила редакційне оглядове опрацювання, виправлення технічних неточностей, структурування розділів та адаптацію змісту до навчального формату.
Що було опрацьовано:
- усунення форматних дефектів (OCR-помилки, розриви структури, дефектні символи);
- редакційне упорядкування змісту;
- уніфікація термінів відповідно до академічних джерел;
- перевірка відповідності фактичних тверджень тексту першоджерела.
Усі згадки про автора, рік видання та походження первинного тексту збережено відповідно до джерела.