Економічний аналіз

ЧАСТИНА II.

УПРАВЛІНСЬКИЙ АНАЛІЗ

4. АНАЛІЗ ЗАБЕЗПЕЧЕННЯ І ЕФЕКТИВНОСТІ ВИКОРИСТАННЯ ВИРОБНИЧИХ РЕСУРСІВ ПІДПРИЄМСТВА

4.2. Аналіз основних фондів підприємства

4.2.2. Поняття, структура, стан і рух основних фондів


Згідно з Положенням (стандартом) бухгалтерського обліку 7 «Основні засоби — це матеріальні активи, які підприємство отримує з метою використання в процесі виробництва або постачання товарів, надання послуг, здавання в оренду іншим особам або для здійснення адміністративних і соціально-культурних функцій, очікуваний строк корисного використання (експлуатації) яких становить більше одного року (або операційного циклу, якщо він триваліший за рік)».

Економічна статистика визначає основні фонди як сукупність створених суспільною працею матеріально-речових цінностей, які

цілком і в незмінній формі діють протягом тривалого часу і поступово втрачають свою вартість.

Основні фонди діляться на виробничі і невиробничі. Виробничі основні фонди — це матеріальні блага тривалого використання, які беруть участь у виробничому процесі.

Невиробничі основні фонди — це матеріальні блага тривалого використання, які не беруть участі у процесі виробництва, і є об’єктами суспільного і особистого використання (фонди комунального і житлового господарства, установи освіти, медицини, науки, культури, мистецтва).

Основні виробничі фонди в свою чергу діляться на основні виробничі фонди основного виду діяльності і виробничі основні фонди інших галузей. Так, для промисловості до інших галузей відноситься: будівництво, сільське господарство, торгівля і суспільне харчування, транспорт, заготівельні організації, інформаційно-обчислювальне обслуговування.

Виробничі основні фонди діляться на окремі групи, зокрема:

а) земельні ділянки; б) капітальні витрати на поліпшення земель;

в) будинки, споруди та передавальні пристрої; г) машини та виробниче обладнання; д) транспортні засоби; е) інструменти, прилади, інвентар (меблі); ж) робоча і продуктивна худоба; и)багаторічні насадження; к) інші основні засоби.

За ступенем участі різних елементів основних фондів у виробничому процесі їх ділять на активну і пасивну частини.

До активної частини (знаряддя праці) відносять виробничі і силові машини і устаткування, а також вимірювальні та регулювальні прилади, виробничі інструменти, транспортні засоби.

До пасивної частини (умови праці) належать основні фонди, які забезпечують нормальні умови процесу виробництва (будівлі, споруди, виробничий та господарський інвентар, інші види основних фондів).

На основі складу основних фондів слід оцінити їх структуру — питому вагу окремих груп у загальній вартості. Аналіз структури основних фондів в динаміці дозволяє оцінити зміни, що відбуваються протягом певного періоду та визначити доцільність цих змін (табл. 4.9)

Наведені дані в таблиці 4.9 дані дозволяють зробити такі висновки: левову частку вартості основних фондів становлять промислово-виробничі, які безпосередньо зайняті виробництвом профільної продукції; до того ж частка їх протягом року зросла на 1,0% за рахунок скорочення виробничих фондів інших галузей і невиробничих основних фондів.

Про співвідношення питомої ваги активної та пасивної частин основних фондів можна зробити висновки на підставі даних табл. 4.10.

Як свідчать дані табл. 4.10, питома вага активної частини основних фондів протягом звітного періоду збільшилася на 2,2% і, відповідно, на цю ж величину скоротилася питома вага пасивної частини основних фондів. В цілому вважається, що збільшення питомої ваги активних основних фондів характеризує позитивну тенденцію. Однак водночас слід звернути увагу на те, щоб не були порушені оптимальні співвідношення між цими частинами основних фондів.

У подальшому поглибленому аналізі необхідно звернути увагу, власне, які види активної частини основних фондів упроваджені на підприємстві, їх технічний рівень, відповідність кращим світовим зразкам, як виконаний план технічного переоснащення підприємства, наскільки впровадження нової техніки сприяє підвищенню рівня механізації, автоматизації і комп’ютеризації виробництва і праці, чи сприяє нова техніка використанню прогресивних технологій.

Таблиця 4.9

Структура основних фондів


Показник

На початок року

На кінець року

Відхилення (+, -)

сума, тис. грн.

питома вага, %

сума, тис. грн.

питома вага, %

суми, тис. грн.

(гр.З-гр.1)

питомої ваги,% (гр.4-гр.2)

А

1

2

3

4

5

6

Промислово- виробничі основні фонди

7479

91,1

7678

92,1

+ 199

+ 1,0

Виробничі основні фонди інших галузей

140

1,7

100

1,2

-40

-0,5

Невиробничі основні фонди

591

7,2

559

6,7

-32

-0,5

Разом основних фондів

8210

100,0

8337

100,0

+ 127

-


Для оцінки технічного стану основних фондів визначаються коефіцієнти зношеності та придатності.


Таблиця 4.10

Аналіз питомої ваги активної і пасивної частин основних виробничих фондів


Основні фонди

На початок періоду

На кінець періоду

Відхилення

(+,-)

(гр.2-гр.1)

А

1

2

3

Промислово-виробничі основні фонди, тис. грн.

7479

7678

+199

у тому числі активна частина:




сума

5078

5382

+304

питома вага, %

67,9

70,1

+2,2

пасивна частина:




сума

2401

2296

-105

питома вага, %

32,1

29,9

-2,2


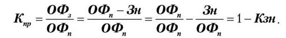
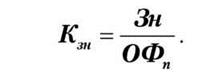
Коефіцієнт зношеності (КЗН) визначається як відношення суми зносу за весь період функціонування основних фондів (ЗН) до їх первісної вартості (ОФП).

  (4.27)

Коефіцієнт зношеності характеризує зношеність функціонуючих основних фондів, тобто ту частину вартості основних фондів, яка перенесена на вартість новоствореного продукту.

Коефіцієнт придатності (КПР) розраховується як відношення залишкової вартості основних фондів (ОФЗ) до їх первісної вартості (ОФп).

(4.28)

Зазначені коефіцієнти визначаються на підставі моментних показників, тобто на певний період. Тому вони обчислюються на початок і кінець досліджуваного періоду.

В табл. 4.11 наведені розрахунки технічного стану промислово- виробничих основних фондів.


Таблиця 4.11

Аналіз технічного стану основних фондів


Показник

На початок періоду

На кінець періоду

Відхилення

(+,-)

(гр.2-гр.1)

А

1

2

3

1. Первісна вартість основних фондів, тис. грн.

8210

8337

+ 127

2. Зношеність основних фондів, тис. грн.

3334

3741

+407

3. Залишкова вартість основних фондів, тис. грн.

4876

4596

-280

4. Коефіцієнт зношеності (р2:р1)

0,406

0,449

+0,043

5. Коефіцієнт придатності (рЗ:р1)

0,594

0,551

-0,043


Незважаючи на збільшення первісної вартості основних фондів за досліджуваний період на 127 тис. грн., внаслідок значного зношення їх коефіцієнт зношеності виріс і відповідно на стільки ж знизився коефіцієнт придатності.

Однак на підставі даних про коефіцієнти зносу і придатності не можна зробити точних висновків щодо стану основних фондів, оскільки:

— на суму зносу основних фондів великий вплив має метод нарахування амортизації, що застосовується на підприємстві;

— вартісна оцінка основних фондів залежить від кон’юнктури ринку, а відтак вона може відрізнятися від оцінки, отриманої за допомогою коефіцієнта придатності;

— на законсервоване обладнання нараховується амортизація на повне відновлення, однак, фізично ці основні фонди, з певним застереженням, не зношуються, а загальна сума зносу зростає.

Технічний стан основних фондів і насамперед устаткування оцінюються також їх віковою структурою. Для цього попередньо проводиться групування устаткування за видами, а в середині кожного виду (групи) — за тривалістю їх експлуатації. Зіставленням фактичного і нормативного терміну експлуатації окремих елементів активної частини основних фондів можна дати певну уяву про придатність робочих машин, інструментів, обладнання, пристроїв тощо. На підставі даних групувань окремих видів основних фондів за тривалістю експлуатації можна визначити середній термін експлуатації за такою формулою:

  (4.29)

де— середній термін експлуатації певного виду основних фондів;

T — середнє арифметичне значення відповідного інтервалу в роках;

n — кількість однорідних видів основних фондів відповідної вікової групи.

Зіставленням середнього терміну експлуатації певних видів основних фондів за декілька років можна нарівні з іншими показниками зробити висновки про їх технічний стан.

Для оцінки тенденції зміни обсягу і руху основних фондів та їх відтворення використовуються їх баланси.

Так, баланс основних фондів за повного первісною вартістю має вигляд:

 (4.30)

де ОФп, ОФк — вартість основних фондів відповідно на початок і кінець звітного періоду;

П — вартість придбаних основних фондів за звітний період;

В — вартість виведених з експлуатації основних фондів за звітний період.

На підставі балансу визначається система показників, які характеризують рух основних фондів, зокрема:

—  коефіцієнт надходження основних фондів

  (4.31)

де Кн — коефіцієнт надходження основних фондів;

ОФП — вартість основних фондів, що надійшли за звітний період;

ОФк — вартість основних фондів на кінець періоду;

— коефіцієнт оновлення

  (4.32)

де Кон — коефіцієнт оновлення основних фондів;

ОФв — вартість введених в експлуатацію основних фондів;

— коефіцієнт вибуття основних фондів

  (4.33)

де КВ — коефіцієнт вибуття основних фондів;

ОФвив — вартість виведених з експлуатації основних фондів у звітному періоді;

ОФп — вартість основних фондів на початок періоду.

До показників, що характеризують рух основних фондів, крім вищезазначених відносяться:

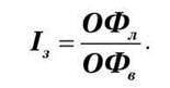
— коефіцієнт ліквідності основних фондів

  (4.34)

де КЛ — коефіцієнт ліквідності основних фондів;

ОФЛ — ліквідаційна вартість (залишкова вартість основних фондів, що вибули в результаті зношування);

— коефіцієнт (темп) приросту вартості основних фондів

  (4.35)

де КПР — коефіцієнт приросту основних фондів;

— коефіцієнт компенсації вибуття основних фондів

  (4.36)

де ККМП — коефіцієнт компенсації вибуття основних фондів;

— інтенсивність заміни основних фондів

  (4.37)

В табл. 4.12 наведені розрахунки показників руху основних фондів.

Таким чином, за досліджуваний період оновлення основних фондів було незначне, про що свідчить значення коефіцієнтів оновлення і вибуття (відповідно 3,0% і 1,5%); незначним є також коефіцієнт приросту основних фондів — 1,5%. Враховуючи досить високий рівень зношеності основних фондів — 44,9% в кінці періоду (табл. 4.11), слід акцентувати увагу на необхідності інтенсивного оновлення засобів праці як чинника підвищення ефективності виробництва.


Таблиця 4.12

Аналіз руху основних фондів


Показник

Величина

1

2

1. Вартість основних фондів на початок періоду (ОФп), тис. грн.

8210

2. Вартість введених в експлуатацію основних фондів (ОФв), тис. грн.

250

3. Вартість виведених із експлуатації основних фондів (ОФвив), тис. грн.

123

4. Вартість основних фондів на кінець періоду (ОФк), тис. грн.

8337

Коефіцієнти:


5. Оновлення основних фондів (р2:р4)

0,03(3,0%)

6. Вибуття основних фондів (рЗ:р1)

0,015(1,5%)

7. Приросту основних фондів [(р2-рЗ):р1]

0,015(1,5%)

8. Компенсації вибуття основних фондів (рЗ:р2)

0,492(49,2%)






Перша публікація: 01/01/2008

Останнє оновлення: 30/12/2023

Редакційна та навчальна адаптація: Даний матеріал зведено на основі першоджерела/оригінального тексту. Команда проєкту здійснила редакційне оглядове опрацювання, виправлення технічних неточностей, структурування розділів та адаптацію змісту до навчального формату.

Що було опрацьовано:

  • усунення форматних дефектів (OCR-помилки, розриви структури, дефектні символи);
  • редакційне упорядкування змісту;
  • уніфікація термінів відповідно до академічних джерел;
  • перевірка відповідності фактичних тверджень тексту першоджерела.

Усі згадки про автора, рік видання та походження первинного тексту збережено відповідно до джерела.