Хімія - універсальний довідник

ГАЛОГЕНИ

ОКИСНІ ВЛАСТИВОСТІ ГАЛОГЕНІВ


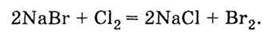
Кожен галоген, що стоїть у періодичній системі вище, являючись сильнішим окисником, ніж той, що стоїть нижче, витискає його зі сполук з металами. Наприклад:

Висока окисна активність галогенів виявляється в їх високій хімічній, а тому і біологічній активності. Навіть найслабший серед них окисник, Йод, має антисептичну дію — вбиває мікроорганізми, тому під час роботи з галогенами треба бути дуже обережним і акуратним.

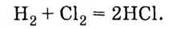
Галогени активно реагують не тільки з металами, але і з неметалами. Наприклад, суміш водню з хлором при яскравому освітленні вибухає:

Галогени — одні швидше, інші повільніше взаємодіють із водою:

У водних розчинах галогенів (за винятком фтору, що з водою реагує дуже швидко), крім наявності вільного галогену міститься атомарний кисень (див. рівняння реакції вище), що, на відміну від молекулярного О2, значно легше вступає в реакції (адже немає необхідності у руйнуванні його власної молекули). Цим пояснюються високі окисні властивості водних розчинів галогенів. Наприклад, хлор застосовується для знезаражування води. (Раніше ми так само пояснювали високу хімічну активність озону О3, пероксиду гідрогену Н2О2).

Галогени взагалі особливо активні у присутності води. Так, сухий хлор навіть повільно не діє на залізо, і його можна зберігати у сталевих балонах. У вологому хлорі залізо швидко руйнується — іржавіє (спільна дія продуктів реакції його з водою — кислоти й атомарного кисню). Про такі процеси кажуть: метал піддається корозії.





Перша публікація: 01/01/2008

Останнє оновлення: 31/12/2023

Редакційна та навчальна адаптація: Даний матеріал зведено на основі першоджерела/оригінального тексту. Команда проєкту здійснила редакційне оглядове опрацювання, виправлення технічних неточностей, структурування розділів та адаптацію змісту до навчального формату.

Що було опрацьовано:

  • усунення форматних дефектів (OCR-помилки, розриви структури, дефектні символи);
  • редакційне упорядкування змісту;
  • уніфікація термінів відповідно до академічних джерел;
  • перевірка відповідності фактичних тверджень тексту першоджерела.

Усі згадки про автора, рік видання та походження первинного тексту збережено відповідно до джерела.