Хімія - універсальний довідник
ХІМІЧНИЙ ПРОЦЕС
ТЕРМОДИНАМІКА ХІМІЧНОГО ПРОЦЕСУ
ЕНТАЛЬПІЙНИЙ І ЕНТРОПІЙНИЙ ФАКТОРИ І НАПРЯМОК ХІМІЧНОЇ РЕАКЦІЇ
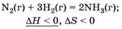
Згідно з рівнянням
![]()
Можливість реакції

визначає ентальпійний фактор: ΔH < 0.
Можливість реакції

визначає ентропійний фактор: TΔS> 0. Реакція протікає за високої температури.
Перша публікація: 01/01/2008
Останнє оновлення: 31/12/2023
Редакційна та навчальна адаптація: Даний матеріал зведено на основі першоджерела/оригінального тексту. Команда проєкту здійснила редакційне оглядове опрацювання, виправлення технічних неточностей, структурування розділів та адаптацію змісту до навчального формату.
Що було опрацьовано:
- усунення форматних дефектів (OCR-помилки, розриви структури, дефектні символи);
- редакційне упорядкування змісту;
- уніфікація термінів відповідно до академічних джерел;
- перевірка відповідності фактичних тверджень тексту першоджерела.
Усі згадки про автора, рік видання та походження первинного тексту збережено відповідно до джерела.