Математика. Повний повторювальний курс. Підготовка до ЗНО та ДПА
ГЕОМЕТРІЯ
Розділ І. ПЛАНІМЕТРІЯ
§26. ФОРМУЛИ ДЛЯ ОБЧИСЛЕННЯ ПЛОЩ.
1. Формули для обчислення площі трикутника.
Площа трикутника S (мал. 273) обчислюється за такими формулами (а, b, с - сторони трикутника; h а - висота, проведена до сторони а; γ - кут між сторонами а і b):
![]()

Також застосовується формула Герона:

і формули S = рr і S = abc/4R, де r - радіус вписаного кола; R – радіус описаного кола. З формули S = 1/2аh а можна знайти висоту h а = 2S/a, а з формули S = рr і S = adc/4R , відповідно r і R:

Площу прямокутного трикутника S з катетами а і b можна знаходити за формулою:
![]()
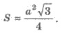
а площу правильного трикутника зі стороною а за формулою:
![]()
Приклад 1. Знайдіть площу трикутника, сторони якого дорівнюють 6 см і 3 см, а кут між ними 60º.
Розв’язання. Маємо а = 6 см; b = 3 см; γ = 60º. Тоді:

Зауважимо, що
найбільшою висотою трикутника є та, що проведена до найменшої сторони; найменшою висотою є та висота, яка проведена до найбільшої сторони.
Приклад 2. Знайдіть найбільшу висоту трикутника, сторони якого дорівнюють 25 см; 29 см і 6 см.
Розв’язання. 1) Знайдемо площу трикутника S за формулою Герона:
![]()
2) Найбільшою висотою трикутника є висота, проведена до сторони, що дорівнює 6 см, отже: h = 2S/a = (2 ∙ 60)/6 = 20 (см).
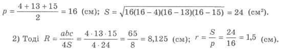
Приклад 3. Сторони трикутника дорівнюють 4 см, 13 см і 15 см. Знайдіть радіус кола R, описаного навколо трикутника та радіус кола r, вписаного в трикутник.
Розв’язання. 1) Знайдемо площу трикутника за формулою Герона;

Перша публікація: 01/01/2008
Останнє оновлення: 30/12/2023
Редакційна та навчальна адаптація: Даний матеріал зведено на основі першоджерела/оригінального тексту. Команда проєкту здійснила редакційне оглядове опрацювання, виправлення технічних неточностей, структурування розділів та адаптацію змісту до навчального формату.
Що було опрацьовано:
- усунення форматних дефектів (OCR-помилки, розриви структури, дефектні символи);
- редакційне упорядкування змісту;
- уніфікація термінів відповідно до академічних джерел;
- перевірка відповідності фактичних тверджень тексту першоджерела.
Усі згадки про автора, рік видання та походження первинного тексту збережено відповідно до джерела.