Алгебра 7 клас - Навчально-методичний посібник - 2015 рік
Урок № 37. ЗАСТОСУВАННЯ РІЗНИХ СПОСОБІВ РОЗКЛАДАННЯ МНОГОЧЛЕНІВ НА МНОЖНИКИ
Цілі:
✵ навчальна: сформувати вміння застосовувати різні способи розкладання многочленів на множники; розглянути спосіб, за якого спочатку необхідно винести за дужки спільний множник;
✵ розвивальна: формувати вміння швидко орієнтуватися в нестандартних ситуаціях; розвивати творчі здібності, кмітливість учнів;
✵ виховна: виховувати зацікавленість у пізнанні нового, спостережливість, самостійність;
Тип уроку: засвоєння нових знань, умінь, навичок.
Обладнання та наочність:
Хід уроку
І. ОРГАНІЗАЦІЙНИЙ ЕТАП
______________________________________________________
______________________________________________________
______________________________________________________
ІІ. ПЕРЕВІРКА ДОМАШНЬОГО ЗАВДАННЯ, АКТУАЛІЗАЦІЯ ОПОРНИХ ЗНАНЬ
1. Перевірка завдання, заданого за підручником
______________________________________________________
______________________________________________________
2. Математичний диктант
| Варіант 1 |
Варіант 2 |
|
1) Винесіть за дужки спільний множник: |
|
|
|
|
|
Підкресліть ті вирази, у яких многочлен, що залишився в дужках, можна розкласти на множники за допомогою формул скороченого множення |
|
|
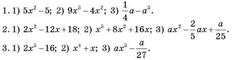
2) Розкладіть на множники: |
|
|
|
|
ІІІ. ВИВЧЕННЯ НОВОГО МАТЕРІАЛУ
Схема виконання дій під час розкладання многочленів на множники

ІV. ЗАСВОЄННЯ НОВИХ ЗНАНЬ І ВМІНЬ
1. Робота за підручником
______________________________________________________
______________________________________________________
2. Додаткові завдання
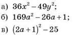
1) Розкладіть на множники многочлен:
![]()
![]()
2) Подайте у вигляді добутку многочлен:
![]()
![]()
3) Розкладіть на множники:
![]()
V. ПІДСУМКИ УРОКУ
1.
______________________________________________________
______________________________________________________
2. Виконання усних вправ
Розкладіть на множники:

VI. ДОМАШНЄ ЗАВДАННЯ
1. Завдання за підручником:
______________________________________________________
______________________________________________________
2. Додаткове завдання. Доведіть, що добуток трьох послідовних натуральних чисел, збільшений на середнє з них, дорівнює кубу середнього числа.
Перша публікація: 01/01/2015
Останнє оновлення: 31/12/2023
Редакційна та навчальна адаптація: Даний матеріал зведено на основі першоджерела/оригінального тексту. Команда проєкту здійснила редакційне оглядове опрацювання, виправлення технічних неточностей, структурування розділів та адаптацію змісту до навчального формату.
Що було опрацьовано:
- усунення форматних дефектів (OCR-помилки, розриви структури, дефектні символи);
- редакційне упорядкування змісту;
- уніфікація термінів відповідно до академічних джерел;
- перевірка відповідності фактичних тверджень тексту першоджерела.
Усі згадки про автора, рік видання та походження первинного тексту збережено відповідно до джерела.



