Розв’язання вправ та завдань до підручника «ГЕОМЕТРІЯ» 8 клас А. П. Єршової - 2017 рік
Розділ IIІ. Многокутники. Площі многокутників
Додаткові задачі до розділу III
639. Snap = АВ ∙ ВН, Sпp = АВ ∙ АВ, але АВ > ВН (похила завжди довша за перпендикуляр) => Snap < Snp.

640. Нехай ABCD — даний паралелограм, a AED — даний трикутник.

Позначимо h — висоту паралелограма, а Н — висоту трикутника, тоді
За умовою ![]()
Відповідь: висота трикутника у 2 рази більша за висоту паралелограма.
641. Нехай ABC — даний трикутник.

Якщо АС поділити на 3 рівні частини

642. Нехай ABC — даний трикутник, ВМ — бісектриса.

МН2⊥ АВ, MH1 ⊥ ВС. Проведемо BN ⊥ АС, тоді

Поділимо ці рівності почленно. Маємо:
але МН2 = МН1 за умовою => ![]()
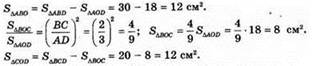
643. Нехай ABCD — дана трапеція, О — точка перетину її діагоналей.

Проведемо ВН ⊥ AD. Оскільки
позначимо ВС = 2х, AD = 3x, тоді

Відповідь: 20 см2 і 30 см2.
б)
за двома кутами =>
![]()
Проведемо ОN ⊥ АD.
за спільним гострим ∠ADB =>
Отже,
Маємо: ![]()

Відповідь: 12 см2, 18 см2, 12 см2, 8 см2.
644. ABCD — трапеція, діагоналі якої перетинаються в т. О.

![]()
Оскільки
то
за двома кутами =>
![]()
645. Нехай ABCD — даний чотирикутник, діагоналі якого перетинаються у точці О.

Оскільки
Проведемо BH1 ⊥ AD і CH1 ⊥ AD.
Оскільки SΔAOB = SΔACD, то BH1 = CH2 => BC || AD. А чотирикутник, у якого протилежні сторони паралельні, є або паралелограмом, або трапецією.
646. Нехай ABC — даний трикутник, в якому АВ = 25 см, ВС = 40 см, ВН ⊥ АС, ВH = 24 см.

За теоремою Піфагора АН2 = АВ2 - ВН2 = 252 - 242 = 625 - 576 = 49; АН = 7 см.
НС2 = ВС2 - ВH2 = 402 - 242 = 1600 - 576 = 1024; НС = 32 см.
а) Якщо ΔАВС — гострокутний і ВН лежить всередині трикутника, то ![]()
б) Якщо ΔАВС — тупокутний і висота ВH лежить поза трикутником, тоді АС = HС - АH = 32 - 7 = 25 см. ![]()

Відповідь: 468 см2 або 300 см2.
647. а) Нехай ABC — даний трикутник.

1. Через т. С проведемо пряму а || АВ.
2. Знайдемо М — середину АВ.
3. Через т. М проведемо MN ⊥ а, N ∈ а.
4. ΔANB — шуканий.
У ΔANB і ΔАСВ основа спільна і висоти, проведені до неї, однакові за побудовою, тому SΔABC = SΔANB. NM — висота і медіана за побудовою => ΔANB — рівнобедрений (AN = NB).
б) Нехай ABC — даний трикутник.

1. Через т. С проведемо пряму а || АВ.
2. На АВ, як на діаметрі, побудуємо коло.
3. Позначимо N — точку перетину кола з прямою а.
4. ΔANB — шуканий.
У ΔANB і ΔАСВ основа спільна і висоти, що проведені до неї, однакові за побудовою, тому SΔABC = SΔANB. ∠ANB = 90° (спирається на діаметр). Якщо висота, що проведена до АВ, більша за половину АВ, то трикутник побудувати неможливо.
648. Нехай ABCD — дана трапеція.

Позначимо М і N — середини АВ і CD відповідно.
Проведемо ММ2⊥ AD, NN2 ⊥ AD. М1 і N1 — точки перетину цих перпендикулярів з ВС. ΔАМ2М = ΔВМ1М, a ΔDN2N = ΔCN1N за гіпотенузою і гострим кутом. Тому розрізати треба по лініях М1М2 і N1N2.
649. Нехай a, b, с — сторони трикутника, a hc = 12, hb = 15, ha = 20 — висоти, що проведені до а, b і с відповідно. Тоді:
тому
Отже, за теоремою, оберненою до теореми Піфаґора, а, b і с є сторонами прямокутного трикутника.
650. Нехай ABC — даний трикутник (∠A = 90°), М, N, К — точка дотику . вписаного кола з центром О.
За властивістю відрізків дотичної NB = MB, NC = КС, AM = АК = r. Розглянемо добуток BN ∙ NC. BN ∙ NC = ВМ ∙ КС = (АВ — AM) ∙ (АС — АК).
Нехай a, b — катети, с — гіпотенуза даного трикутника, тоді

але за теоремою Піфагора а2 + b2 = с2, тому ![]()
651. Нехай даний трикутник має сторони а, b і с.

Тоді його площа
але ha < b, ha < с (перпендикуляр завжди менший за похилу), тому
аналогічно 2S < bс. Додамо почленно всі три нерівності
9
652. Нехай ABC — даний трикутник, АА1 = mа, ВВ1 = mь — його медіани.

але
оскільки BA1 = CA1 і висоти, що проведені з вершини А, рівні.
(оскільки OB ⊥ AA1). Але медіани точкою перетину діляться у відношенні 2 : 1, починаючи з вершини =>
Тобто ![]()
Відповідь: ![]()
653. а) Нехай ABCD — дана трапеція (∠A = ∠B = 90°), описана навколо кола.

Проведемо СН ⊥ AD і позначимо ВС = a, AD = b і AB = h. Тоді
оскільки в трапецію можна вписати коло, то
Запишемо теорему Піфагора для ΔCHD: ![]()
![]()
б) Нехай ABCD — дана трапеція (AB = CD) описана навколо кола.

Проведемо СН ⊥ AD і позначимо ВС = a, AD = b, CD = с, СН = h. Оскільки в трапецію можна вписати коло, то
(трапеція рівнобічна). Із ΔCHD за теоремою Піфагора маємо: CD2 = СН2 + HD2 або
![]()
654. Нехай ABCD — чотирикутник, сторони якого дорівнюють а, b, с і d, а площа — S.

(h ≤ b, оскільки перпендикуляр менший від похилої) =>
Аналогічно
Додавши ці нерівності, маємо: ![]()
655. Нехай ABC — даний трикутник, AA1, BB1, CC1 — його медіани.

За властивістю медіани трикутника
Добудуємо ΔАВС до паралелограма АВМС. Через т. С проводимо пряму CN || ВВ1. Маємо ΔONC, де
Тобто ΔONC подібний до трикутника, складеного з медіан ΔАВС, з k = 2/3.
(доведено раніше) =>
a площа трикутника, складеного з медіан ΔАВС, дорівнює ![]()
656. Нехай ABCD — дана трапеція, О — точка перетину її діагоналей.

Через т. О проведемо
за двома кутами =>
![]()

Відповідь: ![]()
657. Нехай ABCD — дана трапеція, M — середина DC, МН ⊥ АВ.

Позначимо СВ = a, AD = b, а висоту трапеції — h. Тоді:
Маємо:

Отже, ![]()
658. ABC — довільний трикутник, M — точка всередині ΔАВС. ![]()

Проведемо
Оскільки
то ![]()
З іншого боку
В1 — середина АС і ВВ1 — медіана. Аналогічно доводимо, що АА1 і СС1 — теж медіани.
Перша публікація: 01/01/2017
Останнє оновлення: 31/12/2023
Редакційна та навчальна адаптація: Даний матеріал зведено на основі першоджерела/оригінального тексту. Команда проєкту здійснила редакційне оглядове опрацювання, виправлення технічних неточностей, структурування розділів та адаптацію змісту до навчального формату.
Що було опрацьовано:
- усунення форматних дефектів (OCR-помилки, розриви структури, дефектні символи);
- редакційне упорядкування змісту;
- уніфікація термінів відповідно до академічних джерел;
- перевірка відповідності фактичних тверджень тексту першоджерела.
Усі згадки про автора, рік видання та походження первинного тексту збережено відповідно до джерела.