Економічний аналіз
ЧАСТИНА І.
ОСНОВИ ТЕОРІЇ ЕКОНОМІЧНОГО АНАЛІЗУ
2. МЕТОДОЛОГІЯ ЕКОНОМІЧНОГО АНАЛІЗУ
2.2. Методичні прийоми економічного аналізу
Розглянемо детально спеціальні прийоми економічного аналізу, які найчастіше використовуються в практиці аналітичної роботи.
Порівняння — найбільш ранній і найбільш розповсюджений прийом аналізу. З цього прийому по суті і починається економічний аналіз.
Теорія і практика економічного аналізу виробили ряд методів порівняння економічних показників з метою визначення відхилень і встановлення причин, які зумовили ці відхилення. З цією метою фактичні дані порівняються з плановим завданням, нормативами, даними попередніх періодів, середньогалузевими показниками, внутрішніми і зовнішніми стандартами, показниками передових підприємств.
Якщо всі показники, з якими порівнюються фактичні дані, вважати базовими, то в результаті порівняння отримують абсолютне відхилення як різницю між значеннями фактичного рівня і базою, і відносне відхилення як частку від ділення абсолютного відхилення на рівень базового значення і множення отриманого результату на 100.
Слід пам’ятати, що для об’єктивного порівняння показників необхідно фактичні і базові дані привести до єдиних цін та умов формування.
В американській економічній літературі порівняння фактичних результатів зі встановленими завданнями відносяться до контролю, а порівняння варіантів можливих рішень або фактичного виконання з можливими варіантами — до економічного аналізу.
Балансовий прийом — використовується для відображення двох груп взаємозв’язаних і урівноважених економічних показників. Він використовується для аналізу використання робочого часу, аналізу сировинних і матеріальних ресурсів. Балансовий метод може бути використаний для оцінки забезпеченості підприємства основними фондами і особливо їх активної частини — устаткуванням, машинами, приладами.
Розглянемо приклад використання балансового методу на основі балансу основних фондів за первинної вартості, формула якого має такий вигляд:
(2.1)
де ОФп — вартість основних фондів на початок періоду;
П — придбано основних фондів за звітний період;
В — вибуло основних фондів за звітний період;
ОФк - вартість основних фондів на кінець періоду.
На підставі наведеної вище формули можна розрахувати будь-який із показників, якщо відомі значення решти. Так, вартість основних фондів на кінець року дорівнює:
(2.2)
Сальдовий метод — як різновид балансового методу використовується в тих випадках, коли відомий вплив на досліджуваний показник всіх факторів, крім одного, а прямий розрахунок його впливу утруднений.
В такому випадку вплив зазначеного фактора визначається як різниця (сальдо) між загальним відхиленням і сукупним впливом розрахованих факторів.
Варто зазначити, що користуватися цим методом слід дуже обережно, оскільки помилка в розрахунках впливу будь-якого фактора на рівень результативного показника автоматично призведе до помилкових розрахунків на останній стадії факторного аналізу.
Групування — використовуються майже у всіх економічних дослідженнях. Необхідність проведення групування обумовлено тим, що економічні явища і процеси характеризуються великою кількістю первинних даних, які відображують ці явища і процеси.
Групування дозволяють вивчати ті чи інші економічні явища в їх взаємозв’язку і взаємозалежності, виявити вплив найбільш суттєвих факторів на рівень результативного показника, розкрити закономірності і тенденції, які притаманні досліджуваним явищам і процесам. Групування передбачають певну класифікацію явищ і процесів, а також причин і факторів, що їх обумовлюють. Групування широко використовуються для підготовки первинного матеріалу для аналітичної обробки.
Залежно від поставленої мети розрізняють типологічні, структурні і факторні групування.
Типологічне групування дозволяє виділити найхарактерніші групи, типи явищ, з яких складається неоднорідна статистична сукупність, визначити істотні відмінності між ними, а також ознаки, які є спільними для усіх груп (наприклад, кадровий склад персоналу підприємства, національний склад працівників).
Структурні групування дозволяють вивчити склад однорідної сукупності, а також проаналізувати структурні зрушення (наприклад, віковий склад працівників, групування робітників за виконанням норм виробітку).
Факторні групування відображають причинно-наслідкові взаємозв’язки між результативним показником і фактором (факторами), що визначають його рівень (наприклад, залежність середньогодинної заробітної плати від стажу роботи робітників, залежність продуктивності праці робітників від рівня механізації і автоматизації виробництва).
Структурні групування поділяються на дискретні та інтервальні. У дискретних групуваннях величина ознаки (досліджуваний показник) подається окремим числом, а в інтервальних групуваннях — у вигляді інтервалів.
Для визначення величини інтервалу і кількості груп (рядків) у групуванні з рівними інтервалами використовуються такі формули:
(2.3)
(2.4)
де i — величина інтервалу (різниця між максимальним і мінімальним числом у кожній групі (рядку);
Xmax, Xmin — відповідно максимальне і мінімальне число у сукупності даних;
К — кількість груп (рядків);
n — кількість одиниць сукупності у первинних незгрупованих даних.
Звідси:
К = 1 + 3,3221gn. (2.5)
При побудові інтервальних групувань потрібно керуватись такими правилами:
— число груп для зручності не повинно бути великим, оптимальним вважається 7-10 інтервалів;
— перший і останній інтервал можуть бути відкритими, всі інші повинні бути закритими;
— групи доцільно розміщувати за зростаючим значенням ознаки, при цьому слід намагатися зберегти неперервність її зміни. Якщо в будь-якому інтервалі відсутні дані для заповнення, інтервал потрібно зберегти у групуванні.
Абсолютні і відносні величини — займають значне місце в економічному аналізі для оцінки результатів і динаміки господарських процесів і явищ.
Абсолютні величини відображають кількісні сторони економічних явищ і процесів. Це іменовані числа, вони завжди мають одиниці виміру.
Розрізняють такі одиниці виміру абсолютних величин:
— натуральні — тони, метри, літри та інші фізичні одиниці виміру;
— трудові — людино-години, людино-дні;
— вартісні — коп., грн., тис. грн.., і т.д.;
— комплексні — т/км.
До складу натуральних включають також умовно-натуральні вимірники, які використовуються у разі потреби звести воєдино декілька різновидів однієї споживчої вартості, наприклад, умовне паливо, консерви у тисячах умовних банок (туб) тощо.
Перерахунок в умовні одиниці здійснюється за допомогою спеціальних коефіцієнтів-сумірників (К). Роль загальної міри, еталона для розрахунків і порівняння виконує один різновид, коефіцієнт- сумірник для якого дорівнює одиниці (К= 1).
Обсяг продукції в умовно-натуральному вимірі визначається за формулою:
(2.6)
де Y — обсяг продукції в умовно-натуральному вимірі;
К — коефіцієнт-сумірник;
X — обсяг продукції певного виду у натуральному вимірі.
Коефіцієнт-сумірник або задається, або розраховується як співвідношення значення величини заданого параметра (характеристики) певного виду продукції до значення того ж параметра (характеристики) еталонного зразка.
Однак абсолютні величини не дозволяють повного мірою проаналізувати досліджувані соціально-економічні явища і процеси, виявити і оцінити взаємозв’язки і закономірності зміни показників.
Тому в доповненні до абсолютних величин в економічних дослідженнях важливе місце посідають відносні величини.
Відносні величини — це показники, які відображають кількісні співвідношення між явищами і процесами.
Відносну величину отримують як частку від ділення двох абсолютно різнойменних або однойменних величин, взятих за різний період або з різних територій.
В економічних дослідженнях використовуються такі види відносних величин:
— відносні величини планового завдання, виконання плану, співвідношення фактичних даних за звітний і попередній періоди.
Введемо такі умовні позначення:
ХO — значення показника у попередньому періоді;
XПЛ — значення показника у поточному періоді за планом (контрактом, замовленням, договором);
Xi — фактичне (звітне)значення показника за поточний період.
Тоді за відповідними формулами розраховується:
планове завдання
(2.7)
виконання плану (зобов’язань)
(2.8)
співвідношення показників за звітний і попередній період
(2.9)
Між зазначеними вище показниками існує така залежність:
(2.10)
— відносні величини просторового порівняння — одержують в результаті порівняння однойменних показників, що відносяться до різних об’єктів, взятих за один і той же період (наприклад, порівняння продуктивності праці двох підприємств або двох країн).
— відносні величини динаміки — найбільш поширені відносні величини, які одержують шляхом порівняння абсолютних або середніх величин, взятих за різні періоди. Розрізняють базисні і ланцюгові відносні величини. Перші отримують шляхом порівняння рівня показника за будь-який період з рівнем показника за базисний період; другі — шляхом порівняння рівня показника за певний період з рівнем цього ж показника за попередній період.
Детальніше зазначені відносні показники будуть розглядатися як окремий прийом аналізу;
— відносні величини структури — це відношення частин до цілого, або частка (питома вага) частин в обсязі явища

Наприклад, структура основних фондів, яка характеризує частку вартості кожної групи основних фондів у їх загальній вартості;
— відносні величини координації — це відношення однієї частини цілого до іншої частини

Наприклад, співвідношення вартості машин і обладнання та транспортних засобів;
— відносні величини інтенсивності — характеризують ступінь поширення чи розвитку явища у певному середовищі. Наприклад, коефіцієнт плинності робочої сили.
Важливим питанням, що виникає при розрахунках відносних величин, є правильний вибір бази порівняння (знаменника відносної величини при порівнянні однойменних показників). База повинна бути типовою, а не специфічною, випадковою.
Економічний зміст має різницю між чисельником і знаменником однойменних величин — це збільшення (зменшення) рівня показника у звітному періоді в порівнянні з базисним (або планом, зобов’язанням).
При просторовому порівнянні різниця між чисельником і знаменником показує, на скільки значення досліджуваного показника на одному об’єкті більше (менше) значення того ж показника, взятого на іншому об’єкті.
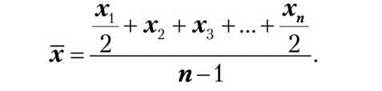
Середні величини — використовуються для узагальнення кількісних характеристик якісно однорідних явищ і процесів (наприклад, середня ціна, середня заробітна плата тощо). За допомогою середніх можна здійснити порівняльний аналіз кількох сукупностей, дати характеристику закономірності розвитку соціально-економічних явищ і процесів.
Середній показник, як і будь-яке інше поняття, являє собою наукову абстракцію, якій нарівні з позитивним, що характеризує кожну абстракцію, притаманні і недоліки: в ній нівелюються індивідуальні відмінності досліджуваних явищ. На практиці це може призвести до того, що при некритичному використанні середніх за високими показниками не помічають незадовільні результати. Тому, якщо навіть сукупність є більш-менш однорідною, загальні результати рекомендується доповнювати груповими середніми (наприклад, середню заробітну плату по підприємству слід доповнювати розрахунками середньої заробітної плати по окремих підрозділах або окремих категоріях працівників).
В залежності від характеру досліджуваних явищ і процесів в економічному аналізі використовуються різні середні величини. В таблиці 2.1 наведені середні, які найчастіше використовуються в економічних дослідженнях.
Наведені у табл. 2.1 формули для розрахунків середніх стосуються просторових даних.
Для динамічних рядів середня для інтервального ряду розраховується за формулою простої арифметичної.
Для повного моментного динамічного ряду середній рівень розраховується за такою формулою:
(2.11)
Розраховуючи середні, варто мати на увазі, що вони дають узагальнюючу характеристику явищ і процесів лише за одною ознакою. Кожне ж явище характеризується значною кількістю ознак. Тому з метою дослідження суспільних явищ рекомендується обчислювати не одну ізольовану середню, а систему середніх, що дозволяє оцінити явище з різних сторін, комплексно.
Динамічні ряди — це послідовність упорядкованих показників, які характеризують зміну явищ і процесів в часі. Аналіз динамічних рядів дозволяє за допомогою системи показників виявити і оцінити тенденції і закономірності зміни явищ і процесів. За допомогою динамічних рядів досліджується інтенсивність змін показників, що аналізуються.
Для аналізу динамічних рядів використовується система аналітичних характеристик, яка наведена у табл. 2.2.
Наведені в таблиці 2.2 формули для розрахунків коефіцієнта (темпу) росту за весь період і середнього коефіцієнта (темпу) росту можуть бути використані лише для абсолютних величин динамічного ряду. Якщо ж такі дані відсутні, а у розпорядженні аналітика є ланцюгові темпи зростання (приросту), то слід дотримуватися такого правила: добуток ланцюгових коефіцієнтів зростання дорівнює
Таблица 2.1
Види середніх величин та формул для їх розрахунку

коефіцієнту зростання за весь період, тобто:
(2.12)
а середній коефіцієнт зростання в такому випадку визначається за формулою
(2.13)
Варто пам’ятати, що достовірні висновки можна отримати лише тоді, коли дотримуються правил формування динамічних рядів, зокрема:
— порівнянність рівнів ряду;
— включення в ряди динаміки однорідних показників;
— обґрунтований вибір тривалості періоду дослідження;
— неперервність динамічного ряду, тобто відсутність показників за окремі періоди.
Деталізація показників. Економічний аналіз явищ і процесів, зазвичай, починається з вивчення загальних показників. Однак загального уявлення про тенденції в змінах синтетичного показника, зазвичай, недостатньо. По-перше, вивчення загальних показників не розкриває характер і величину впливу всіх факторів на динаміку цих показників; по-друге, у загальних показниках нерідко діють протилежні тенденції, які взаємно погашаються і тим самим перекручують загальну картину змін.
Тому виникає необхідність іти від загальних показників до часткових. Такий прийом отримав назву деталізація.
Він проводиться по декількох основних напрямках: за утворюючими факторами, за якісними ознаками, по підрозділах, за часом.
Деталізація за утворюючими факторами означає послідовний перехід від комплексних факторів до первинних елементів.
Деталізація показників по підрозділах означає розподіл загального показника по місцях здійснення відповідних операцій. Наприклад, розподіл фонду заробітної плати по цехах, ділянках, відділах, бригадах тощо.
Деталізація за якісними ознаками використовується за якісної неоднорідності синтетичного показника, що аналізується.
Наприклад, розподіл фонду оплати праці на окремі види оплати.
Деталізація показників по періодах являє собою розподіл аналітичного показника по календарних періодах. Наприклад, обсяг виробництва або реалізації продукції може бути розподіленим по днях, п’ятиденках, декадах або інших періодах.
Таблиця 2.2
Аналітичні характеристики рядів динаміки та формули
для їх обчислення

В практиці економічного аналізу нарівні з використанням кожного із названих напрямків деталізації можуть використовуватися і їх комбінації. Наприклад, при аналізі фонду заробітної плати можна одночасно проводити деталізацію по підрозділах, категоріях працівників і періодах.
Перерахунок показників — один із найважливіших прийомів аналітичної обробки первинних даних. Цей прийом особливо необхідний в процесі порівняння показників. Так, для оцінки динаміки вартісні показники повинні оцінюватися у порівнянних цінах.
Якщо необхідно оцінити ступінь виконання плану з собівартості продукції, то слід планові витрати скорегувати на фактичний випуск продукції. Планова собівартість продукції корегується на зміну цін на матеріали, паливо тощо, яка сталася у звітному періоді. Такого роду перерахунки повинні проводитися у всіх випадках, коли необхідно зіставити економічні показники.
Елімінування — логічний прийом, який широко використовується у факторному аналізі.
Відомо, що зміна результативного показника залежить від зміни значної кількості факторів. Суть елімінування полягає у тому, що якщо оцінюється вплив певного фактора на зміну результативного показника, решта факторів, що утворюють разом з досліджуваним факторну систему, залишаються незмінними.
В економічному аналізі елімінування застосовується у таких прийомах:
— ланцюгові підстановки;
— абсолютні різниці;
— відносні різниці;
— індексний спосіб.
Суть способу ланцюгових підстановок полягає в послідовній, почерговій заміні у факторній функціональній моделі, яка описує базисний рівень досліджуваного показника, базисних параметрів на звітні; в обчисленні умовних результативних показників та їх порівняння для визначення впливу кожного окремого фактора.
При послідовній почерговій зміні базисних параметрів на звітні слід дотримуватися такого привила: в першу чергу підлягають заміні кількісні параметри, далі структурні, в останню чергу якісні.
Якщо у факторній системі міститься кілька кількісних, структурних або якісних факторів, послідовність замін залежить від оцінки того, які з них є основними, а які похідними; які первинні, а які — вторинні.
Різниця між кожним наступним та попереднім розрахунковим показником і виражатиме елімінування впливу всіх інших факторів, крім заміненого (досліджуваного).
До кількісних факторів відносяться обсяг продукції, чисельність працюючих, вартість основних фондів тощо; до структурних — вага окремих показників; до якісних відносяться показники, які характеризують ступінь досягнення певних результатів, або показники, які розраховані відносно одиниці (ціна, продуктивність праці, собівартість одиниці продукції, фондовіддача, матеріалоємність, рентабельність, урожайність з одиниці площі тощо).
Водночас слід звернути увагу на те, що при проведенні факторного аналізу деякі показники в одних випадках приймаються як якісні, а в інших випадках — як кількісні. Так, при проведенні факторного аналізу рентабельності виробництва прибуток вважається якісним фактором, а рентабельності витрат — кількісним.
Розглянемо методику проведення факторного аналізу рентабельності виробництва за методом ланцюгових підстановок.

де R — рентабельність виробництва;
П — прибуток (фінансовий результат від звичайної діяльності до оподаткування);
- середньорічна вартість основних фондів,
- середні залишки оборотних фондів.
Значення показника, що аналізується, у базисному періоді

Проводимо послідовну заміну значень показників базисного періоду на звітні значення. При цьому середньорічна вартість основних фондів і середні залишки оборотних фондів — кількісні показники; прибуток — якісний показник.
Почергово замінюємо середньорічну вартість основних фондів, середні залишки оборотних фондів, прибуток:
І крок

II крок

III крок — це по суті фактичне значення досліджуваного показника

Рентабельність виробництва у звітному періоді у порівнянні з базисним в цілому змінилась на:
![]()
в тому числі під впливом змін:
— середньовічної вартості основних виробничих фондів
![]()
— середніх залишків оборотних фондів
![]()
— прибутку
![]()
Результати розрахунків перевіряються рівністю
![]()
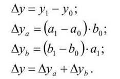
Частковим випадком ланцюгових підстановок є спосіб абсолютних різниць. Цей спосіб особливо зручний, коли факторна система являє собою залежність результативного показника від добутку показників (факторів):
![]()
Факторний аналіз проводиться у такій послідовності.
Спочатку послідовно розраховується значення результативного показника за базисний і звітний періоди

Загальне відхилення результативного показника у звітному періоді у порівнянні з базисним дорівнює:
![]()
в тому числі під впливом змін окремих факторів:

Наостанку проводиться балансова перевірка результатів розрахунків:
![]()
Якщо факторна система включає тільки два фактори, тобто
у = a ·Ь, то факторний аналіз проводиться таким чином: послідовно розраховується різниця між значеннями кожного досліджуваного фактора за звітний і базисний періоди і одержана різниця перемножується на інший фактор, причому інший фактор береться за базисний період, якщо досліджуваний фактор кількісний, і за звітний період, якщо він якісний.
Якщо вважати, що a- кількісний фактор, а b- якісний фактор, то факторний аналіз проводиться за такою схемою:

Наступний спосіб із цього класу є спосіб відносних різниць. Використання цього способу передбачає завчасне визначення темпу приросту окремих факторів: Тnрa; Тnрb; Тnрс; Тnрd.
Послідовність проведення аналізу за цим способом аналогічна способу абсолютних різниць.
Вплив змін кожного фактора на зміну результативного показника визначається таким чином:

Використання індексного способу для проведення факторного аналізу базується на таких положеннях:
— індекс результативного показника дорівнює добутку індексів показників-факторів;
— різниця між чисельником і знаменником індексу відображає абсолютну зміну показника у звітному періоді у порівнянні з базисним (планом);
— зміна результативного показника дорівнює сумі змін показників-факторів.
Відносно товарообігу зазначені положення відображаються відповідно таким чином:


Крім наведених способів проведення факторного аналізу в економічних дослідженнях застосовуються також інші, зокрема, прийом пропорційного ділення, інтегральний спосіб, які на практиці використовуються значно рідше у порівнянні з переліченими вище.
Прийоми графічного і табличного відображення даних — дають можливість подати результати дослідження у наочному зображенні і зручному вигляді для читання і аналізу. Наявність ПЕОМ значно розширюють можливості їх використання.
Економіко-математичні методи — важливий напрямок вдосконалення економічного аналізу, особливо в частині виявлення і оцінки резервів виробництва, вибору оптимальних планових рішень. Із сукупності методів особливо варто виділити виробничі функції, лінійне програмування, вибірковий метод, теорію ігор та ін.
Серед названих методів варто звернути увагу на виробничі функції, які є продуктом розвитку методів кореляції та регресії.
Виробничі функції особливо корисні для проведення факторного аналізу, оцінка ступеня взаємозаміщення ресурсів, побудови прогнозів, які є інформаційною базою для стратегічного аналізу.
Евристичні методи — використовуються насамперед для вибору напрямків розвитку об’єктів, відбору і оцінки оптимального значення факторів, параметрів, характеристик. До цих методів відносяться методи експертної оцінки, зокрема, метод Дельфі, методи генерування ідей (мозкова атака, морфологічний аналіз, синектика).
Перша публікація: 01/01/2008
Останнє оновлення: 30/12/2023
Редакційна та навчальна адаптація: Даний матеріал зведено на основі першоджерела/оригінального тексту. Команда проєкту здійснила редакційне оглядове опрацювання, виправлення технічних неточностей, структурування розділів та адаптацію змісту до навчального формату.
Що було опрацьовано:
- усунення форматних дефектів (OCR-помилки, розриви структури, дефектні символи);
- редакційне упорядкування змісту;
- уніфікація термінів відповідно до академічних джерел;
- перевірка відповідності фактичних тверджень тексту першоджерела.
Усі згадки про автора, рік видання та походження первинного тексту збережено відповідно до джерела.