Економічний аналіз

ЧАСТИНА III. ФІНАНСОВИЙ АНАЛІЗ

7. АНАЛІЗ ФІНАНСОВОГО СТАНУ ПІДПРИЄМСТВА

7.5. Аналіз ділової активності підприємства


Стійкий фінансовий стан підприємства в ринкових умовах значною мірою обумовлюється його діловою активністю.

Ділова активність підприємства проявляється через розширення ринків збуту продукції, підтримання ділової репутації (іміджу), вихід на ринок праці і капіталу тощо.

Ділова активність оцінюється системою показників (коефіцієнтів), які характеризують найважливіші сторони діяльності підприємства.

Досліджуючи динаміку абсолютних показників, необхідно виявити, на скільки вона відповідає їх оптимальному співвідношенню, яке дістало назву «золоте правило економіки підприємства»:

 (7.9)

де Трп, Трв, Тра — темп зростання відповідно прибутку, виручки від реалізації, активів.

Перше співвідношення показує, що випередження темпу зростання прибутку в порівнянні з темпом зростання обсягу реалізації свідчить про зниження собівартості продукції, як основного чинника збільшення прибутку.

Якщо темпи зростання прибутку і обсягу продажів більші темпів зростання активів, то це свідчить про ефективність використання останніх.

За даними табл. 7.1 темп зростання загального прибутку становить 296,8%, чистого прибутку — 230,0%, чистого доходу (виручки) від реалізації продукції — 135,6%, активів — 97,9%. Такі співвідношення темпів росту свідчать про ефективність використання активів. Стосовно темпів зростання прибутку і чистої виручки від реалізації продукції, то тут другий показник зростав повільніше у порівнянні з першим, тобто Трв < Трп, що свідчить про інтенсивний шлях нарощування прибутку.

Ділову активність підприємства характеризують показники ефективності використання робочої сили, основних виробничих фондів, оборотного капіталу, фінансових ресурсів тощо.

Враховуючи, що деякі з перерахованих показників уже розглядалися у відповідних розділах посібника, інші розглядатимуться в подальшому, основна увага буде приділена показникам, що характеризують оборотність засобів або їх джерел, де, насамперед, проявляється ділова активність підприємства у фінансовій сфері.

Оборотність засобів або їх джерел оцінюється за такими показниками:

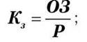
— коефіцієнт оборотності (кількість оборотів за досліджуваний період, швидкість обороту)

  (7.10)

де Ко - оборотність активів або їх складових;

Р — виручка від реалізації продукції;

— середні залишки оборотних засобів або їх складових;


- коефіцієнт завантаження, який є оберненою величиною до кофіцієнта оборотності

  (7.11)

— тривалість одного обороту, в днях

  (7.12)

де Т — кількість днів в досліджуваному періоді (Т приймає такі значення: рік — 360 днів; квартал — 90 днів; місяць — 30 днів);

— економія (перевитрати) оборотних засобів або їх елементів

  (7.13)

або

  (7.14)

Показники оборотності для оцінки ділової активності є:

1. Коефіцієнт оборотності активів — відображена швидкість обороту сукупного капіталу, або скільки грошових одиниць реалізованої продукції припадає на одну грошову одиницю активів:

(7.15)

Зворотна величина — коефіцієнт завантаження показує скільки за звітний період витрачено грошових одиниць активу на одну грошову одиницю реалізованої продукції.

2. Коефіцієнт оборотності оборотних активів показує скільки, грошових одиниць продукції приносить кожна одиниця оборотних активів:

(7.16)

Швидкість обороту активів багато в чому залежить від органічної будови капіталу (співвідношення основного і оборотного капіталу). Чим більше частка основного капіталу в загальній його сумі, тим повільніше він обертається, і навпаки, зі збільшенням питомої ваги оборотних активів прискорюється загальна оборотність капіталу (активів).

3. Коефіцієнт оборотності виробничих запасів — відображає число оборотів запасів і дозволяє виявити резерви зростання виробництва продукції. Зниження цього показника характеризує відносне зростання товарно-матеріальних запасів, що негативно впливає на фінансовий стан підприємства.

Коефіцієнт оборотності виробничих запасів розраховується за формулою:

(7.17)

4. Коефіцієнт оборотності дебіторської заборгованості (коштів у розрахунках) — показує кількість оборотів дебіторської заборгованості:

(7.18)

5. Коефіцієнт оборотності кредиторської заборгованості - характеризує залучені кошти, які підлягають поверненню.

(7.19)

Сума закупівель = [чиста виручка від реалізіції продукції - фінансовий результат від звичайної діяльності до оподаткування + залишки виробничих запасів на кінець періоду] — елементи доданої вартості.

Елементи доданої вартості = витрати на оплату праці + відрахування на соціальні заходи + амортизація.

В координатному вимірі сума закупівель визначається за такою формулою:

Сума закупівель = [р.035, ф.2-р.170, ф.2 + р.100÷р.140, ф.1] —

- [р.240, ф.2+ р.250, ф.2+ р.260, ф.2].

6. Коефіцієнт оборотності власного капіталу — відображає швидкість обороту вкладеного власного капіталу:

(7.20)

Аналіз показників оборотності, розрахованих на підставі формул (7.10-7.20), наведений в табл. 7.11.

Аналіз даних табл. 7.11 свідчить, що термін одного обороту активів, оборотних активів, виробничих запасів, власного капіталу скоротився, що позитивно впливає на ділову активність підприємства. Однак строк погашення дебіторської заборгованості і кредиторської заборгованості збільшився, що, природно, погіршує фінансовий стан підприємства.


Таблиця 7.11

Аналіз ділової активності підприємства

Показник

Попе-

редній

період

Звітний

період

Абсолютне відхилення (+,-)

(гр.2-гр.1)

А

1

2

3

1. Чиста виручка від реалізації продукції, тис. грн.

6621,3

8976,3

+2355,0

2. Повна собівартість реалізованої продукції, тис. грн.

6283,2

8229,6

+1946,4

3. Середня вартість активів, тис. грн.

6856,5

6714,5

-142,0

4. Середня вартість оборотних активів,

тис. грн.

1531,1

1317,2

-213,9

5. Середня вартість виробничих запасів, тис. грн.

115,4

102,0

-13,4

6. Середня величина дебіторської заборгованості, тис. грн.

555,2

799,9

+244,7

7. Середня величина кредиторської заборгованості, тис. грн.

1244,9

1019,4

-225,5

8. Середня величина власного капіталу, тис. грн.

5611,7

5694,7

+83,0

9. Сума закупівель, тис. грн.

2082,0

1469,0

-613,0

Коефіцієнт оборотності:

10. Активів (р.1: р.З)

0,97

1,34

+0,37

11. Оборотних активів (р.1: р.4)

4,32

6,81

+2,49

12. Виробничих запасів (р.2:р.5)

54,45

80,68

26,23

13. Дебіторської заборгованості (р.1:р.6)

11,93

11,22

-0,71

14. Кредиторської заборгованості (р.9: р.7)

1,67

1,44

-0,23

15. Власного капіталу (р1:р.8)

1,18

1,58

+040

Термін одного обороту, дні

16. Активів (360: р.10)

371,1

286,7

-84,4

17. Оборотних активів (360:р.11)

83,3

52,9

-30,4

18. Виробничих запасів (360:р.12)

6,6

4,5

-2,1

19. Власного капіталу (360:р.15)

305,1

227,8

-77,3

Строк погашення, дні

20. Дебіторської заборгованості (період інкасації) (360:р.13)

30,2

32,1

+1,9

21. Кредиторської заборгованості (360:р.14)

215,6

250,0

+34,4

22. Тривалість операційного циклу (р.18+р.20)

36,8

36,6

-0,2


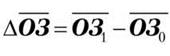
Скориставшись формулою (7.10) і даними табл. 7.11, можна привести факторний аналіз зміни оборотного капіталу (засобів). Загальна зміна оборотних засобів становить:

= 1317,2-1531,1 = -213,9 тис. грн.,

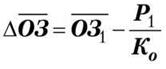
в тому числі за рахунок змін:

— чистої виручки

=(8976,3-6621,3) ∙ =544,5 тис. грн;

— коефіцієнта завантаження

= ∙ 8976,3=-758,4 тис. грн;

Балансова перевірка:

= 544,5+ (-758,4) = -213,9 тис. грн.

тобто сукупний вплив двох факторів дорівнює загальній зміні оборотних засобів.

Аналіз результатів факторного аналізу оборотних засобів показує, що зростання обсягу чистої виручки від реалізації продукції сприяло збільшенню оборотних засобів на 544,8 тис. грн.; прискорення ж оборотності їх забезпечило економію — на 758,4 тис. грн.

Такий же результат, що характеризує економію оборотних засобів за рахунок прискорення їх оборотності, можна отримати за формулою (7.13)

=(52,8270-83,2466) ∙ =-758,4 тис. грн.

або за формулою (7.14)

=1317,2- =-758,4 тис. грн.

Щоб отримати точні результати факторного аналізу економії (перевитрат), слід використовувати в проміжних розрахунках не менше чотирьох знаків після коми.

Склад наведених в табл. 7.11 і вище показників для оцінки ділової активності підприємства не варто канонізувати. Кожна галузь і навіть окреме підприємство може підібрати такий склад показників, який найбільшою мірою відповідає їх особливостям і потребам.

Коефіцієнти оборотності (ділової активності) безпосередньо впливають на фінансові результати діяльності підприємства, його платоспроможність. Як результат прискорення обороту вивільнюються матеріальні елементи оборотних активів (менше потрібно запасів сировини, матеріалів, палива, незавершеного виробництва та ін.) і таким чином зменшуються затрати, пов’язані з їх зберіганням. При цьому вивільнюються грошові кошти, які були вкладені в ці запаси, що врешті-решт сприятиме покращенню фінансового стану підприємства.





Перша публікація: 01/01/2008

Останнє оновлення: 30/12/2023

Редакційна та навчальна адаптація: Даний матеріал зведено на основі першоджерела/оригінального тексту. Команда проєкту здійснила редакційне оглядове опрацювання, виправлення технічних неточностей, структурування розділів та адаптацію змісту до навчального формату.

Що було опрацьовано:

  • усунення форматних дефектів (OCR-помилки, розриви структури, дефектні символи);
  • редакційне упорядкування змісту;
  • уніфікація термінів відповідно до академічних джерел;
  • перевірка відповідності фактичних тверджень тексту першоджерела.

Усі згадки про автора, рік видання та походження первинного тексту збережено відповідно до джерела.