Економічний аналіз
ЧАСТИНА III. ФІНАНСОВИЙ АНАЛІЗ
6. АНАЛІЗ ФІНАНСОВИХ РЕЗУЛЬТАТІВ
6.6. Аналіз рівня беззбитковості
Під рівнем (точкою) беззбитковості або окупності витрат вважається такий обсяг реалізованої продукції, при якій виручка від реалізації дорівнює її повній собівартості, тобто відсутні як прибутки, так і збитки.
Для визначення точки беззбитковості використовується графічний і алгебраїчний методи.
Для побудови графіка або проведення розрахунків використовується така інформація:
— постійні витрати (ПВ);
— змінні витрати (ЗВ);
— змінні витрати на одиницю реалізованої продукції (ЗВ');
— загальні витрати (В);
— обсяг продукції у натуральному вимірі (q);
— вартість реалізованої продукції (Р).
На рис. 6.1 наведений графічний метод визначення точки беззбитковості. За допомогою цього графіка, якщо дотримуватися точної шкали, можна оцінити різні варіанти обсягів реалізації продукції і визначити ступінь їх прибутковості.

Рис. 6.1. Графік визначення точки беззбитковості
Однак спроби визначити точки беззбитковості передбачають ряд допущень, які потрібно враховувати при їх застосуванні, зокрема:
— незмінність постійної частини витрат за будь-якого обсягу виробництва, що проблематично;
— незмінність змінних витрат на одиницю продукції;
— незмінні ціни;
— виробництво одного виду або якісно однорідної продукції.
При алгебраїчному способі визначення обсягу виробництва (реалізації), достатнього для покриття затрат, використовувати такі формули:
Q = ПВ + ЗВ (6.9)
або
(6.10)
де q — виробництво продукції у натуральному вимірі;
р — ціна за одиницю продукції;
ЗВ' — змінні витрати на одиницю продукції.
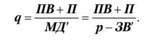
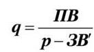
Звідси, обсяг виробництва у натуральному вимірі, який забезпечує рівність вартості продукції і затрат на її виготовлення, розраховується за формулою:
(6.11)
Формулу можна також подати у такому вигляді:
(6.12)
де МД' — маржинальний (граничний ) дохід на одиницю продукції.
Маржинальний дохід, а також формули для визначення точки беззбитковості дозволяють використати їх для вирішення низки управлінських завдань, зокрема:
— визначити обсяг виробництва продукції у точці беззбитковості;
— оцінити вірогідно очікуваний прибуток за наперед заданим обсягом виробництва продукції;
— визначити, який повинен бути обсяг виробництва задля отримання бажаного прибутку.
Для отримання бажаного прибутку необхідний обсяг виробництва розраховується за такою формулою:
(6.13)
Скориставшись наведеними вище формулами та даними табл. 6.6 за плановий період, розглянемо можливість реалізації зазначених вище управлінських завдань.
Для розрахунку обсягу виробництва у точці беззбитковості використаємо формулу (6.11):
=
од.
Отже, при виробництві 311 од. виробів чистий дохід (виручка) від реалізації продукції буде дорівнювати повній собівартості продукції і, відповідно, прибуток буде нульовим.
Припустимо, що керівництво підприємства планує довести обсяг виробництва виробів до 600 од. Для визначення очікуваного прибутку скористаємося формулою (6.13), провівши відповідні перетворення:
= 600 ∙ (0,50 - 0,28) - 68,4 = 63,6 тис. грн.
Підприємство ставить за мету отримати прибуток в обсязі 70 тис. грн. Щоб визначити, до якого рівня довести обсяг виробництва у натуральному вимірі, можна використати формулу 6.13:
=
од.
Якщо у формулі (6.11) використовуються вартісні показники, то вона дозволяє визначити поріг рентабельності, тобто суму виручки, яка необхідна для того, щоб покрити всі витрати. Прибутку в такому випадку не буде, не буде і збитків, а рентабельність продукції дорівнюватиме нулю.
(6.14)
На підставі порогу рентабельності можна визначити запас фінансової стійкості (ЗФС):
(6.15)
Таким чином, маржинальний аналіз надає керівництву великі можливості щодо гнучкості прийняття управлінських рішень.
Перша публікація: 01/01/2008
Останнє оновлення: 30/12/2023
Редакційна та навчальна адаптація: Даний матеріал зведено на основі першоджерела/оригінального тексту. Команда проєкту здійснила редакційне оглядове опрацювання, виправлення технічних неточностей, структурування розділів та адаптацію змісту до навчального формату.
Що було опрацьовано:
- усунення форматних дефектів (OCR-помилки, розриви структури, дефектні символи);
- редакційне упорядкування змісту;
- уніфікація термінів відповідно до академічних джерел;
- перевірка відповідності фактичних тверджень тексту першоджерела.
Усі згадки про автора, рік видання та походження первинного тексту збережено відповідно до джерела.