Хімія - універсальний довідник
ГАЗОПОДІБНИЙ СТАН РЕЧОВИНИ
МОЛЯРНИЙ ОБ’ЄМ ГАЗУ
Найважливішим для хімії наслідком із закону Авогадро є уявлення про молярний об’єм газів.
Згадаємо, що таке моль для речовин, які складаються з молекул. Моль — кількість речовини, що містить число молекул, рівне числу Авогадро NA (6,02 • 1023). Отже, на підставі закону Авогадро дійдемо висновку, що будь-які гази в кількості, рівній 1 моль, за однакових умов повинні займати однаковий об’єм, який не залежить від природи газоподібної речовини, але залежить від температури і тиску. Цей об’єм називається молярним об’ємом газу.
При температурі 0 °С і тиску, рівному 1 атм (101,325 кПа) (ці умови зазвичай називають нормальними і позначають н. у.), об’єм 1 моль газу, тобто молярний об’єм, дорівнює 22,4 л (Vм = 22,4 л/моль). Зазвичай, мають на увазі саме ці умови і цей молярний об’єм (якщо немає спеціальних застережень).
Закон Авогадро має ще один важливий наслідок. Коефіцієнти в рівнянні хімічної реакції вказують, у яких відносних кількостях речовини (реагенти і продукти реакції) вступають у взаємодію. А оскільки об’єми газоподібних речовин пропорційні їхній кількості, то коефіцієнти рівняння вказують об’ємні відношення речовин.
Зв’язок об’ємів газів, що реагують, із коефіцієнтами рівняння реакції дозволяє проводити чимало розрахунків без обчислення маси газоподібної речовини, що дуже зручно, тому що на практиці, зазвичай, вимірюють об’єм газу, а не його масу.
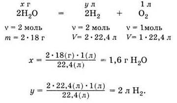
Розв’яжемо наступну задачу. Потрібно розрахувати, скільки грамів води необхідно розкласти електричним струмом, щоб одержати 1 л кисню, і який об’єм матиме водень, що виділився при цьому.

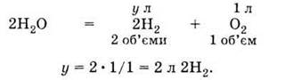
Розрахунок об’єму водню в цьому прикладі взагалі усне завдання при наступному записі:

Якщо відомі молярна маса М і молярний об’єм речовини Vм, то його густину можна визначити за відношенням ρ = М/VM . Для газів Vм = 22,4 л/моль — константа, отже, їхня густина пропорційна молярній масі.
Запам’ятавши, що середня відносна молекулярна маса повітря дорівнює 29, можна легко порівнювати густину будь-якого газу з густиною повітря без знання їхніх густин.
Перша публікація: 01/01/2008
Останнє оновлення: 31/12/2023
Редакційна та навчальна адаптація: Даний матеріал зведено на основі першоджерела/оригінального тексту. Команда проєкту здійснила редакційне оглядове опрацювання, виправлення технічних неточностей, структурування розділів та адаптацію змісту до навчального формату.
Що було опрацьовано:
- усунення форматних дефектів (OCR-помилки, розриви структури, дефектні символи);
- редакційне упорядкування змісту;
- уніфікація термінів відповідно до академічних джерел;
- перевірка відповідності фактичних тверджень тексту першоджерела.
Усі згадки про автора, рік видання та походження первинного тексту збережено відповідно до джерела.