Хімія - універсальний довідник
ХІМІЧНИЙ ПРОЦЕС
ХІМІЧНА КІНЕТИКА. ШВИДКІСТЬ І МЕХАНІЗМ ХІМІЧНИХ РЕАКЦІЙ
ШВИДКІСТЬ ХІМІЧНОЇ РЕАКЦІЇ
Швидкість і механізм хімічної реакції вивчає хімічна кінетика.
Швидкість хімічної реакції характеризується зміною концентрації однієї з вихідних речовин або кінцевих продуктів за одиницю часу.
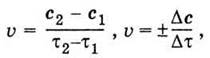
Середня швидкість реакції:

де с1 і с2 — початкова і кінцева концентрація речовини; τ1 і τ2 — початковий і кінцевий час здійснення хімічної реакції; ± Δc — зміна концентрації речовини (збільшення, зменшення) в ході реакції за відрізок часу Δτ (рис. 43).

Рис. 43. Зміна концентрації реагентів с1 і продуктів реакції с2 в часі.
Перша публікація: 01/01/2008
Останнє оновлення: 31/12/2023
Редакційна та навчальна адаптація: Даний матеріал зведено на основі першоджерела/оригінального тексту. Команда проєкту здійснила редакційне оглядове опрацювання, виправлення технічних неточностей, структурування розділів та адаптацію змісту до навчального формату.
Що було опрацьовано:
- усунення форматних дефектів (OCR-помилки, розриви структури, дефектні символи);
- редакційне упорядкування змісту;
- уніфікація термінів відповідно до академічних джерел;
- перевірка відповідності фактичних тверджень тексту першоджерела.
Усі згадки про автора, рік видання та походження первинного тексту збережено відповідно до джерела.