Хімія - універсальний довідник
ХІМІЧНИЙ ПРОЦЕС
РЕАКЦІЇ ЗІ ЗМІНОЮ СТУПЕНІВ ОКИСНЕННЯ ЕЛЕМЕНТІВ
НАПРЯМОК ОКИСНО-ВІДНОВНИХ РЕАКЦІЙ У РОЗЧИНІ
Для кількісної характеристики окисно-відновних можливостей речовин, що знаходяться в розчинах або стикаються з ними, використовують електродні (окисно-відновні) потенціали Е. Взаємозв’язок ΔG і Е виражається рівнянням
![]()
де n — число молів електронів, переданих у процесі; F = 96 485 Кл/моль — стала Фарадея.
Для стандартних умов ![]()
Значення стандартного електродного потенціалу Е° (як і ΔG0) розчинених речовин відносяться до розчинів із концентрацією 1 моль/л, а для газоподібних речовин — до тиску
1,01 • 105 Па.
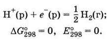
Значення електродних потенціалів визначаються стосовно водневого електроду:

Перша публікація: 01/01/2008
Останнє оновлення: 31/12/2023
Редакційна та навчальна адаптація: Даний матеріал зведено на основі першоджерела/оригінального тексту. Команда проєкту здійснила редакційне оглядове опрацювання, виправлення технічних неточностей, структурування розділів та адаптацію змісту до навчального формату.
Що було опрацьовано:
- усунення форматних дефектів (OCR-помилки, розриви структури, дефектні символи);
- редакційне упорядкування змісту;
- уніфікація термінів відповідно до академічних джерел;
- перевірка відповідності фактичних тверджень тексту першоджерела.
Усі згадки про автора, рік видання та походження первинного тексту збережено відповідно до джерела.