Хімія - універсальний довідник
БУДОВА РЕЧОВИНИ
ХІМІЧНИЙ ЗВ’ЯЗОК
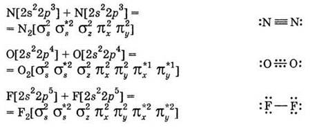
МОЛЕКУЛИ АЗОТУ N2, КИСНЮ O2 І ФТОРУ F2
Енергетична діаграма орбіталей двохатомних молекул елементів другого періоду наведена на рис. 6.

Рис. 6. Енергетична діаграма орбіталей двохатомних молекул s - і р-елементів.
Користуючись рис. 6, можна скласти електронні конфігурації двохатомних s - і р-елементів.
Електронна конфігурація Структурна
молекули форма

Молекула кисню, на відміну від молекул фтору й азоту, має неспарені електрони, тому рідкий кисень притягується магнітом.
Перша публікація: 01/01/2008
Останнє оновлення: 31/12/2023
Редакційна та навчальна адаптація: Даний матеріал зведено на основі першоджерела/оригінального тексту. Команда проєкту здійснила редакційне оглядове опрацювання, виправлення технічних неточностей, структурування розділів та адаптацію змісту до навчального формату.
Що було опрацьовано:
- усунення форматних дефектів (OCR-помилки, розриви структури, дефектні символи);
- редакційне упорядкування змісту;
- уніфікація термінів відповідно до академічних джерел;
- перевірка відповідності фактичних тверджень тексту першоджерела.
Усі згадки про автора, рік видання та походження первинного тексту збережено відповідно до джерела.