Підручник Геометрія 9 клас - А. Г. Мерзляк - Гімназія 2017 рік
§3 ДЕКАРТОВІ КООРДИНАТИ НА ПЛОЩИНІ
Вивчаючи матеріал цього параграфа, ви розширите свої знання про координатну площину.
Ви навчитеся знаходити довжину відрізка та координати його середини, знаючи координати його кінців.
Отримаєте уявлення про рівняння фігури, виведете рівняння прямої та кола.
Ознайомитеся з методом координат, який дає змогу розв'язувати геометричні задачі засобами алгебри.
8. Відстань між двома точками із заданими координатами. координати середини відрізка
У 6 класі ви ознайомилися з координатною площиною, тобто з площиною, на якій зображено дві перпендикулярні координатні прямі (вісь абсцис і вісь ординат) зі спільним початком відліку (рис. 8.1). Ви вмієте зображати на ній точки за їхніми координатами і, навпаки, знаходити координати точки, відміченої на координатній площині.

Рис. 8.1
Домовилися координатну площину з віссю x (віссю абсцис) і віссю у (віссю ординат) називати площиною xy.
Координати точки на площині xy називають декартовими координатами на честь французького математика Рене Декарта (див. оповідання на с. 101).
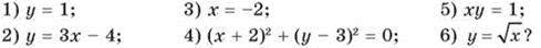
Ви знаєте, як знаходити відстань між двома точками, заданими своїми координатами на координатній прямій. Для точок A (x 1) і B (x 2) (рис. 8.2) маємо:
AB = |x 2 - x 1| .
![]()
Рис. 8.2
Навчимося знаходити відстань між точками A (x 1; у 1) і B (x 2; у 2), заданими на площині xy.
Розглянемо випадок, коли відрізок AB не перпендикулярний до жодної з координатних осей (рис. 8.3).
Через точки A і B проведемо прямі, перпендикулярні до координатних осей. Отримаємо прямокутний трикутник ACB, у якому BC = |x 2 - x 1| , AC = |у 2 - у 1| . Звідси AB 2 = BC 2 + AC 2 = |x 2 - x 1| 2 + |у 2 - y 1| 2 = (x 2 - x 1) 2 + (у 2 - y 1) 2.
Тоді формулу відстані між точками A (x 1; у 1) і B (x 2; у 2) можна записати так:
![]()
Доведіть самостійно, що ця формула залишається правильною і для випадку, коли відрізок AB перпендикулярний до однієї з осей координат.
Нехай A (x 1; у 1) і B (x 2; у 2) — точки площини xy. Знайдемо координати (x 0; у 0) точки M — середини відрізка AB.

Рис. 8.3

Рис. 8.4
Розглянемо випадок, коли відрізок AB не перпендикулярний до жодної з координатних осей (рис. 8.4). Вважатимемо, що x
2 > x
1 (випадок, коли x
2 < x
1, розглядається аналогічно). Через точки A, M і B проведемо прямі, перпендикулярні до осі абсцис, які перетнуть цю вісь відповідно в точках A
1, M
1 і B
1. За теоремою Фалеса A
1M
1 = M
1B
1, тоді |x
0 - x
1| = |x
2 - x
0|. Оскільки x
2 > x
0> x
1, то можемо записати: x
0 - x
1 = x
2 - x
0. Звідси
![]()
Аналогічно можна показати, що
![]()
Формули для знаходження координат середини відрізка залишаються правильними й у випадку, коли відрізок AB перпендикулярний до однієї з осей координат. Доведіть це самостійно.
Задача 1. Доведіть, що трикутник, вершинами якого є точки A (-1; 7), B (1; 3) і C (5; 5), є рівнобедреним прямокутним.
Розв’язання. Використовуючи формулу відстані між двома точками, знайдемо сторони даного трикутника:

Отже, AB = BC, тобто трикутник ABC рівнобедрений.
Оскільки AB 2 + BC 2 = 20 + 20 = 40 = AC 2, то трикутник ABC прямокутний.
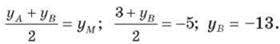
Задача 2. Точка M (2; -5) — середина відрізка AB, A (-1; 3). Знайдіть координати точки B.
Розв’язання. Позначимо (x B; y B) — координати точки B, (x A; y A) — координати точки A, (x M; y M) — координати точки M.
Оскільки
то отримуємо:
![]()
![]()
Аналогічно
![]()
Відповідь: B (5; -13).
Задача 3. Доведіть, що чотирикутник ABCD з вершинами в точках A (2; -1), B (1; 3), C (-3; 2) і D (-2; -2) є прямокутником.
Розв’язання. Нехай точка M — середина діагоналі AC. Тоді
![]()
Отже, M (-0,5; 0,5).
Нехай точка K — середина діагоналі BD. Тоді
![]()
Отже, K (-0,5; 0,5).
Таким чином, точки M і K збігаються, тобто діагоналі чотирикутника ABCD мають спільну середину. Звідси випливає, що чотирикутник ABCD — паралелограм.
Знайдемо діагоналі паралелограма:
![]()
Отже, діагоналі паралелограма ABCD рівні. Звідси випливає, що цей паралелограм є прямокутником.
1. Як знайти відстань між двома точками, якщо відомо їхні координати?
2. Як знайти координати середини відрізка, якщо відомо координати його кінців?
ВПРАВИ
8.1.° Знайдіть відстань між точками A і B, якщо:
1) A (10; 14), B (5; 2); 2) A (-1; 2), B (4; -3).
8.2.° Знайдіть відстань між точками C і D, якщо:
1) C (-2; -4), D (4; -12); 2) C (6; 3), D (7; -1).
8.3.° Вершинами трикутника є точки A (-1; 3), B (5; 9), C (6; 2). Доведіть, що трикутник ABC рівнобедрений.
8.4.° Доведіть, що точка M (0; -1) є центром кола, описаного навколо трикутника ABC, якщо A (6; -9), B (-6; 7), C (8; 5).
8.5.° Доведіть, що кути B і C трикутника ABC рівні, якщо A (5; -7), B (-3; 8), C (-10; -15).
8.6.° Знайдіть координати середини відрізка BC, якщо:
1) B (5; 4), C (3; 2); 2) B (-2; -1), C (-1; 7).
8.7.° Точка C — середина відрізка AB. Знайдіть координати точки B, якщо:
1) A (3; -4), C (2; 1); 2) A (-1; 1), C (0,5; -1).
8.8.° Точка K — середина відрізка AD. Заповніть таблицю:
Точка |
Координати точки |
||
A |
(-3; 1) |
(-8; 2) |
|
D |
(-1; -3) |
(-9; 2) |
|
K |
(-4; 6) |
(1; 2) |
|
8.9.° Знайдіть медіану BM трикутника, вершинами якого є точки A (3; -2), B (2; 3) і C (7; 4).
8.10.° Дано точки A (-2; 4) і B (2; -8). Знайдіть відстань від початку координат до середини відрізка AB.
8.11.✵ Доведіть, що трикутник з вершинами в точках A (2; 7), B (-1; 4) і C (1; 2) є прямокутним.
8.12.✵ Точки A (-1; 2) і B (7; 4) є вершинами прямокутного трикутника. Чи може третя вершина трикутника мати координати:
1) (7; 2); 2) (2; -3)?
8.13.✵ Чи лежать на одній прямій точки:
1) A (-2; -7), B (-1; -4) і C (5; 14);
2) D (-1; 3), E (2; 13) і F (5; 21)?
У разі ствердної відповіді вкажіть, яка з точок лежить між двома іншими.
8.14. Доведіть, що точки M (-4; 5), N (-10; 7) і K (8; 1) лежать на одній прямій, та вкажіть, яка з них лежить між двома іншими.
8.15.✵ При якому значенні x відстань між точками C (3; 2) і D (x; -1) дорівнює 5?
8.16. На осі абсцис знайдіть точку, яка рівновіддалена від точок A (-1; -1) і B (2; 4).
8.17.✵ Знайдіть координати точки, яка належить осі ординат і рівновіддалена від точок D (-2; -3) і E (4; 1).
8.18. Знайдіть координати точки, яка ділить відрізок AB у відношенні 1 : 3, рахуючи від точки A, якщо A (5; -3) і B (-3; 7).
8.19. Чотирикутник ABCD — паралелограм, A (-5; 1), B (-4; 4), C (-1; 5). Знайдіть координати вершини D.
8.20. Чотирикутник ABCD — паралелограм, A (-2; -2), C (4; 1), D (-1; 1). Знайдіть координати вершини B.
8.21.✵ Доведіть, що чотирикутник ABCD з вершинами в точках A (-2; 8), B (3; -3), C (6; 2) і D (1; 13) є паралелограмом.
8.22.✵ Доведіть, що чотирикутник ABCD з вершинами в точках A (-3; -2), B (-1; 2), C (1; -2) і D (-1; -6) є ромбом.
8.23.✵ Доведіть, що чотирикутник ABCD з вершинами в точках A (-2; 6), B (-8; -2), C (0; -8) і D (6; 0) є квадратом.
8.24. Точки D (1; 4) і E (2; 2) — середини сторін AC і BC трикутника ABC відповідно. Знайдіть координати вершин A і C, якщо B (-3; -1).
8.25.✵ Знайдіть довжину відрізка, кінці якого належать осям координат, а серединою є точка M (-3; 8).
8.26.✵✵ Знайдіть координати вершини C рівностороннього трикутника ABC, якщо A (2; -3) і B (-2; 3).
8.27.✵✵ Знайдіть координати вершини E рівностороннього трикутника DEF, якщо D (-6; 0) і F (2; 0).
8.28.✵✵ У трикутнику ABC відомо, що AB = BC, A (5; 9), C (1; -3), модулі координат точки B рівні. Знайдіть координати точки B.
8.29.✵✵ Знайдіть координати всіх точок C осі абсцис таких, що трикутник ABC рівнобедрений і A (1; 1), B (2; 3).
8.30.✵✵ Знайдіть координати всіх точок B осі ординат таких, що трикутник ABC прямокутний і A (1; 3), C (3; 7).
ВПРАВИ ДЛЯ ПОВТОРЕННЯ
8.31. У трикутнику ABC відомо, що ∠C = 90°, AB = 9 см, BC = 3 см. На гіпотенузі AB позначено точку M так, що AM : MB = 1 : 2. Знайдіть відрізок CM.
8.32. Знайдіть кути ромба, якщо кут між висотою та діагоналлю ромба, проведеними з однієї вершини, дорівнює 28°.
8.33. Діагональ BD паралелограма ABCD дорівнює 24 см, точка E — середина сторони BC. Знайдіть відрізки, на які пряма AE ділить діагональ BD.
ГОТУЄМОСЯ ДО ВИВЧЕННЯ НОВОЇ ТЕМИ
8.34. Точка A (1; -6) — центр кола, точка B (10; 6) належить цьому колу. Чому дорівнює радіус кола?
8.35. Відрізок CD — діаметр кола. Знайдіть координати центра кола та радіус кола, якщо C (6; -4), D (-2; 10).
8.36. Яка фігура є графіком рівняння:
![]()
Перша публікація: 01/01/2017
Останнє оновлення: 31/12/2023
Редакційна та навчальна адаптація: Даний матеріал зведено на основі першоджерела/оригінального тексту. Команда проєкту здійснила редакційне оглядове опрацювання, виправлення технічних неточностей, структурування розділів та адаптацію змісту до навчального формату.
Що було опрацьовано:
- усунення форматних дефектів (OCR-помилки, розриви структури, дефектні символи);
- редакційне упорядкування змісту;
- уніфікація термінів відповідно до академічних джерел;
- перевірка відповідності фактичних тверджень тексту першоджерела.
Усі згадки про автора, рік видання та походження первинного тексту збережено відповідно до джерела.