Підручник Алгебра 9 клас - Н. А. Тарасенкова - Оріон 2017 рік

РОЗДІЛ 4 ОСНОВИ КОМБІНАТОРИКИ ТЕОРІЇ ЙМОВІРНОСТЕЙ ТА СТАТИСТИКИ

§ 16. ЧАСТОТА ТА ЙМОВІРНІСТЬ ВИПАДКОВОЇ ПОДІЇ

Вам вже доводилось обдумувати різні події, про які ви знали, що вони або відбудуться, або ні. Наприклад, такими є події: купівля нового одягу, отримання нагороди в конкурсі, поїздка за кордон у мовний табір тощо.

Явище, про яке можна сказати, що воно відбудеться чи не відбудеться за певних умов, називається випадковою подією або (коротко) подією.

Події позначають великими латинськими літерами, наприклад: А. Читають: подія А.

Вважають, що будь-яка випадкова подія відбувається (чи не відбувається) внаслідок проведення деякого випадкового, або стохастичного, експерименту. Такий експеримент є випробуванням. Умови проведення випробування є незмінними. Можливі результати випробування є відомими, але заздалегідь не можна передбачити, який саме з них матиме місце. Наприклад, якщо ми будемо підкидати монету один раз, то можливими є два наслідки: випаде або «герб», або «цифра» (мал. 169), проте не можна точно сказати, що саме випаде. Тому підкидання монети є випробуванням, а поява «герба» чи «цифри» — це події А і В.

мал. 169

мал. 170

Скільки подій можуть відбутися внаслідок одного підкидання грального кубика (мал. 170)? Гральний кубик містить шість граней, отже, подій буде принаймні шість: поява 1 очка, поява 2 очок, поява 3 очок, поява 4 очок, поява 5 очок, поява 6 очок.

Зверніть увагу: усі можливі результати випробування утворюють сукупність подій, проте випробування завершується настанням лише однієї із цих подій.

Наприклад, у результаті одного підкидання грального кубика із шести можливих подій відбудеться лише одна: або поява 1 очка, або поява 2 очок, або поява 3 очок, або поява 4 очок, або поява 5 очок, або поява 6 очок. Інакше кажуть: «Появі 1 очка сприяє лише одна подія» і т.д.

Подію, яка в результаті випробування неодмінно має статися, називають достовірною. Наприклад, подія А «поява від 1 до 6 очок» у результаті підкидання грального кубика є достовірною.

Подію, яка внаслідок даного випробування не може відбутися, називають неможливою. Наприклад, подія В — «поява на одній із граней грального кубика 7 очок» є неможливою.

Задача 1. Зі скриньки, у якій містяться лише жовті кульки, виймають по одній кульці. Якою є подія:

1) вийнято жовту кульку;

2) вийнято червону кульку?

Розв’язання.

1. Подія А «вийнято жовту кульку» — це достовірна подія, бо в даному випробуванні вона є єдино можливим його результатом.

2. Подія В «вийнято червону кульку» — це неможлива подія, бо в даному випробуванні такого результату не може бути.

Події називають несумісними, якщо поява однієї з них виключає появу другої. Такі події не можуть настати одночасно. Наприклад, подія С — «поява 3 очок» і подія D — «поява 5 очок» є несумісними подіями в результаті одного підкидання грального кубика.

Події називаються рівноможливими, якщо в результаті випробування поява кожної з них є однаково можливою порівняно з іншими. Наприклад, під час підкидання грального кубика події «поява 1 очка», «поява 2 очок», «поява 3 очок», «поява 4 очок», «поява 5 очок», «поява 6 очок» є рівноможливими.

Ймовірність події — це кількісна характеристика можливості настання цієї події в ході випробування.

Позначають: Р(А). Читають: «Ймовірність події А».

Для випробування, у якому всі можливі події є несумісними й рівноможливими, ймовірність події можна обчислювати за формулою.

Ймовірністю події А називається відношення числа m сприятливих для А подій до числа n усіх рівноможливих у даному випробуванні подій:

Р (А) = .

Чи правильно, що кількість тих випробувань m, які сприяють появі даної події, завжди менша від загальної кількості випробувань m? Ні. Числа m і n можуть також дорівнювати одне одному. Наприклад, ймовірність достовірної події «поява від 1 до 6 очок» у результаті одного підкидання грального кубика дорівнює 1,оскільки = = 1.

Зверніть увагу: ймовірність події може набувати значень лише від 0 до 1 (0 ≤ Р(А) ≤ 1). Ймовірність достовірної події дорівнює 1, а ймовірність неможливої події — 0.

Задача 2. У магазині є 18 пар джинсів. З них 10 пар — 34-го розміру і 8 пар — 36-го розміру. Марина купила одну пару джинсів. Яка ймовірність того, що ця пара джинсів:

1) 34-го розміру;

2) 36-го розміру?

Розв’язання.

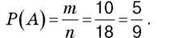
1. Нехай подія А — «куплено джинси 34 розміру». Загальна кількість пар джинсів у магазині становить 18, тому n = 18. Джинсів 34-го розміру — 10, тому m = 10. Ймовірність події А дорівнює відношенню кількості т можливостей купити джинси 34-го розміру до загальної кількості n можливостей купити хоч якісь джинси, тому:

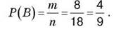
2. Нехай подія В — «куплено джинси 36-го розміру». Тоді m = 8, n = 18.

Відповідь: 1) ймовірність купити джинси 34-го розміру дорівнює ; 2) ймовірність купити джинси 36-го розміру дoрівнює .

У задачі розглядали випробування, у ході якого в магазині купили джинси. Можливими були дві події: подія А — «куплено джинси 34-го розміру» і подія В «куплено джинси 36-го розміру». Ймовірність події А дорівнює , а події В — . Сумаймовірностей цих подій дорівнює + = 1 .

Сума ймовірностей усіх можливих подій випробування дорівнює 1.

Чи можна визначити ймовірність однієї з можливих подій випробування як різницю числа 1 і ймовірності іншої події? Так. Ймовірність купити джинси 36-го розміру в розглянутій задачі можна було знайти й по-іншому:

1 - = .

Задача 3. Кидають два гральні кубики. Яка ймовірність того, що в сумі випаде 9 очок?

Розв’язання Подія С «внаслідок підкидання двох кубиків в сумі випало 9 очок». Можливими є такі пари чисел на верхніх гранях двох гральних кубиків: 3 і 6, 4 і 5, 5 і 4, 6 і 3. Отже, m = 4. Загальна кількість пар чисел, коли на першому кубику випало число від 1 до 6 і для кожного з них на другому кубику випало одне із цих шести чисел, дорівнює 36, тобто n = 36. Отже:

P(C )= = = .

Під час різних експериментів дослідники з’ясовують, скільки разів відбулася та чи інша подія. Наприклад, скільки дівчаток народилося в Полтавській області за місяць, шість місяців, рік тощо; скільки учнів шкіл Черкаської області одержали червоні дипломи математичного конкурсу «Кенгуру» у 2015 році, 2016 році, 2017 році; скільки разів випаде герб при підкиданні монети. Проводячи такі експерименти, дослідники відмітили, що події відбуваються з певною частотою.

Частотою випадкової події А називається відношення кількості появ події, яка нас цікавить, до загальної кількості випробувань (спостережень).

Ймовірність випадкової події наближено дорівнює частоті цієї події, знайденій під час проведення великої кількості випробувань (спостережень). Таку оцінку ймовірності ще називають статистичною.

Якщо під час проведення великої кількості випадкових випробувань, у кожному з яких може відбутися або не відбутися деяка подія A, значення частоти цієї події А близьке до певного числа, яке залежить тільки від події А й не залежить від серії експериментів, то це число називають ймовірністю випадкової події А й позначають P(A).

ДІЗНАЙТЕСЯ БІЛЬШЕ

Вважають, що історія теорії ймовірностей розпочинається з роботи Я. Бернуллі (1654-1705) «Ars Conjectandi» («Мистецтво припущень»), яка була опублікована в 1713 р. У ній Бернуллі запропонував класичне означення ймовірності випадкової події як відношення кількості рівноможливих випадків, пов’язаних із цією подією, до загальної кількості випадків. Він також виклав правила підрахунку ймовірності для складних подій і дав перший варіант ключового «закону великих чисел», який пояснює, чому частота події в серії випробувань не змінюється хаотично, а в певному сенсі прагне до свого граничного теоретичного значення (тобто ймовірності).

Ідеї Бернуллі розвинули на початку XIX ст. Лаплас, Гаусс та Пуассон. Поняття ймовірності було розвинуте для неперервних випадкових величин, завдяки чому з’явилася можливість застосування методів математичного аналізу. З’являються перші спроби застосування теорії ймовірностей у фізиці. До кінця XIX ст. з’являються статистична фізика,сувора теорія помилок вимірювання, ймовірнісні методи проникають в різноманітні прикладні науки.

У XX ст. у фізиці була створена теорія мікросвіту, а в біології — теорія спадковості, обидві вони більшою мірою засновані на ймовірнісних методах. Карл Пірсон розробив алгоритми математичної статистики, які широко застосовуються для аналізу прикладних вимірювань, перевірки гіпотез і прийняття рішень. А. М. Колмогоров дав класичну аксіоматику теорії ймовірностей. З інших нових сфер застосувань теорії ймовірностей необхідно пригадати теорію інформації та теорію випадкових процесів.

ПРИГАДАЙТЕ ГОЛОВНЕ

1. Що таке подія?

2. Яку подію називають випадковою?

3. Яку подію називають достовірною?

4. Яку подію називають неможливою?

5. Які події називають несумісними?

6. Які події називають рівноможливими?

7. Що таке ймовірність події? Як її позначають?

8. Як знайти ймовірність події?

9. Яких значень може набувати ймовірність події?

10. Що таке частота випадкової події?

РОЗВ'ЯЖІТЬ ЗАДАЧІ

672'. Які події можна одержати внаслідок проведення випробування:

1) монету підкидають один раз;

2) монету підкидають два рази;

3) гральний кубик кидають один раз;

4) стріляють по мішені один раз;

5) стріляють по мішені два рази;

6) зі скриньки, у якій лежать блакитна й жовта кульки, виймають кульку;

7) зі скриньки, у якій лежать блакитна, жовта й червона кульки, виймають кульку?

673'. У скриньці лежать 4 кульки: біла, жовта, зелена та блакитна. Виймають одну кульку. Для цього випробування назвіть:

1) усі рівноможливі події;

2) неможливу подію;

3) несумісні події.

674'. У кошику лежать однакові тенісні м’ячі. Якою є подія:

1) «вийнято тенісний м’яч»;

2) «вийнято футбольний м’яч»;

3) «вийнято баскетбольний м’яч»?

675'. У коробці містяться котушки ниток білого кольору. Якою є подія:

1) вийнято котушку синього кольору»;

2) «вийнято котушку білого кольору»;

3) «вийнято котушку червоного кольору»?

676°. Монету підкидають один раз. Яка ймовірність того, що випаде «цифра»?

677°. Монету підкидають один раз. Яка ймовірність того, що випаде «герб»?

678°. Оленка задумала просте двоцифрове число, менше від числа 25. Яка ймовірність того, що це число:

1) 13;

2) 17;

3) 18;

4) більше за 20;

5) непарне?

679°. Семен задумав складене двоцифрове число, менше від числа 27. Яка ймовірність того, що це число:

1) 8;

2) 15;

3) 19;

4) парне?

680°. Гральний кубик кидають один раз. Підрахуйте ймовірність події:

1) «випадає 2 очки»;

2) «випадає 5 очок»;

3) «випадає 7 очок»;

4) «випадає парне число очок»;

5) випадає число очок, кратне числу З».

681°. Гральний кубик кидають один раз. Підрахуйте ймовірність події:

1) «випадає 3 очки»;

2) «випадає 6 очок»;

3) «випадає непарне число очок».

682°. У класі навчаються 22 хлопці й 11 дівчат. Один учень захворів. Яка ймовірність того, що це:

1) хлопець;

2) дівчина?

683°. У змаганнях брали участь 16 хлопців і 18 дівчат, які мають рівні шанси на перемогу. Яка ймовірність того, що перше місце виборе:

1) дівчина;

2) хлопець?

684°. Зі скриньки, у якій містяться 10 зелених та 8 блакитних кульок, навмання вийнято одну кульку. Яка ймовірність того, що ця кулька:

1) зелена;

2) блакитна;

3) червона?

685°. Зі скриньки, у якій містяться 9 жовтих і 12 фіолетових кульок, навмання вийнято одну кульку. Яка ймовірність того, що ця кулька:

1) жовта;

2) фіолетова;

3) зелена?

686. У родині двоє дітей. Яка ймовірність того, що це: 1) хлопчики; 2) дівчатка, якщо припускати, що народження хлопчика й дівчинки є рівноможливими подіями?

687. У родині двоє дітей. Яка ймовірність того, що в родині є хлопчик і дівчинка, якщо народження хлопчика й дівчинки є рівноможливими подіями?

688. Монету підкидають два рази. Яка ймовірність того, що випадуть:

1) дві «цифри»;

2) два «герби»;

3) «цифра» і «герб»?

689. Підкидають дві монети. Яка ймовірність того, що монети упадуть однаковою стороною доверху?

690. У лотереї розігрують 20 грошових призів і 5 речових. Усього було продано 5000 лотерейних білетів. Яка ймовірність того, що, придбавши один білет, ви:

1) виграєте який-небудь приз;

2) виграєте грошовий приз;

3) не виграєте жодного призу?

691. У міжнародних змаганнях із плавання беруть участь 8 спортсменів: 3 — зі США, 2 — з Австралії, 1 — з Китаю, 1 — з України, 1 — з Канади. Порядок, у якому виступають спортсмени, визначається жеребкуванням. Знайдіть ймовірність того, що спортсмен, який виступає останнім, виявиться із США.

692. У змаганнях із велоспорту беруть участь 4 спортсмени з Польщі, 8 спортсменів з Болгарії, 7 спортсменів з Румунії та 5 — із Словенії. Порядок, у якому виступають

спортсмени, визначається жеребкуванням. Знайдіть ймовірність того, що спортсмен, який виступає першим, виявиться з Болгарії.

693. На завод привезли партію з 2000 деталей, з яких 50 деталей не відповідають стандарту. Визначте ймовірність того, що взята навмання деталь виявиться стандартною.

694. На фабриці виготовляють постільну білизну. За день було пошито 250 комплектів, з яких 5 комплектів виявилися з прихованими дефектами. Знайдіть ймовірність того, що куплений у магазині комплект постільної білизни із цієї партії виявиться якісним.

695. Синоптики прогнозують на наступний тиждень 5 сонячних днів та 2 дощові. Яка подія є більш ймовірною: «середа — сонячний день» чи «в середу буде дощ»?

696. У випадковому експерименті кидають два гральні кубики. Знайдіть ймовірність того, що в сумі випаде 9 очок.

697. У випадковому експерименті кидають два гральні кубики. Знайдіть ймовірність того, що на кубиках випадуть однакові очки.

698*. У випадковому експерименті кидають три гральні кубики. Знайдіть ймовірність того, що в сумі випаде:

1) 10 очок;

2) 15 очок;

3) 20 очок.

699*. У випадковому експерименті монету кидають тричі. Знайдіть ймовірність того, що «герб» випаде всі три рази.

ПРОЯВІТЬ КОМПЕТЕНТНІСТЬ

700. Проведіть такий експеримент. Підкиньте монету:

1) 10 разів;

2) 50 разів;

3) 100 разів.

Результати запишіть у таблицю 25.

Таблиця 25

Номер експерименту

1

2

3

Кількість підкидань

10

50

100

Кількість випадань «герба»




Кількість випадань «цифри»




У кожному експерименті підрахуйте частоту випадання «цифри» та порахуйте ймовірність настання події «випаде цифра».

701. Оксана й Сергій придумали гру; кидають два гральні кубики. Якщо сума очок дорівнює 11, то виграв Сергійко, а якщо сума очок дорівнює 10, то виграла Оксанка. У кого з дітей більше шансів виграти?

702. Оберіть навмання одну сторінку з п’єси Івана Котляревського «Наталка Полтавка». Порахуйте на цій сторінці кількість букв «а»,

«о», «е», «і» та загальну кількість букв. Підрахуйте частоту появи вказаних букв у тексті.

ЗАДАЧІ НА ПОВТОРЕННЯ

703. Розв’яжіть систему нерівностей:

704. Змішали 200 г 78 %-го розчину, 300 г 60 %-го розчину й 600 г 20 %-го розчину. Знайдіть концентрацію розчину, що утворився.