УСІ УРОКИ ФІЗИКИ
11 КЛАС
ЕЛЕКТРОДИНАМІКА
Хвильова й квантова оптика
УРОК 10/47
Тема. Фотони. Люмінесценція
Мета уроку: дати поняття про фотон як елементарну частинку електромагнітного випромінювання; вивчити основні властивості фотона.
Тип уроку: комбінований урок.
ПЛАН УРОКУ
Контроль знань |
15 хв. |
Самостійна робота № 11. «Квантові властивості світла. Закони фотоефекту» |
Вивчення нового матеріалу |
25 хв. |
1. Фотони. 2. Люмінесценція. 3. Корпускулярно-хвильовий дуалізм |
Закріплення вивченого матеріалу |
5 хв. |
1. Навчаємося розв’язувати задачі. 2. Контрольні питання |
ВИВЧЕННЯ НОВОГО МАТЕРІАЛУ
1. Фотони
Термін «фотон» було уведено хіміком Г. Льюїсом 1926 року. У сучасній фізиці фотон — це переносник електромагнітної взаємодії (часто називається елементарною частинкою), фундаментальна складова світла й всіх інших форм електромагнітного випромінювання.
Фотон має нульову масу спокою, не має електричного заряду й не розпадається спонтанно у вакуумі. Оскільки фотон — безмасова частинка, він рухається у вакуумі зі швидкістю світла у вакуумі.
Про фотон не можна сказати, що він розігнався до швидкості світла у вакуумі — він просто не може зупинитися або рухатися повільніше. Взаємодія з речовиною може стати причиною зникнення фотона (коли світло поглинається), його перетворення в інші частинки, але не гальмування.
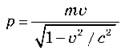
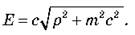
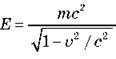
З формули спеціальної теорії відносності для енергії частинки
й для її імпульсу
можна виключити швидкість частинки с й вивести співвідношення ![]()
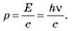
Отже, для частинки з нульовою масою Е = ср. Звідси одержуємо вираз для імпульсу фотона: ![]()
Скориставшись зв’язком між частотою v й довжиною світлової хвилі (v = с/λ), одержуємо p = h/λ. Напрямок імпульсу фотона збігається з напрямком поширення світла.
2. Люмінесценція
Деякі речовини самі випромінюють світло після того, як їх опромінили світлом. Це явище називають люмінесценцією. г Люмінесценція — нетеплове світіння речовини, що відбувається після поглинання нею енергії збудження.
Люмінесценція виникає під дією:
· світла;
· радіоактивного й рентгенівського випромінювань;
· електричного поля;
· під час хімічних реакцій і механічних впливів.
Приклади люмінесценції — світіння гниючого дерева, деяких комах, екрана телевізора.
На явищі люмінесценції заснований найважливіший напрямок квантової електроніки, що сприяв створенню квантових генераторів світла.
Існує кілька типів люмінесценції:
· катодолюмінесценція — зумовлена бомбардуванням твердих тіл швидкими електронами;
· хемілюмінесценція — світіння, що використовує енергію хімічних реакцій;
· фотолюмінесценція — світіння під дією видимого світла й ультрафіолетового випромінювання; її різновидом є флуоресценція й фосфоресценція;

· рентгенолюмінесценція — світіння під дією рентгенівських променів;
· радіолюмінесценція — виникає внаслідок опромінення речовини гамма-випромінюванням;
· електролюмінесценція — виникає під час пропущення електричного струму через люмінофори певних типів.

Лазерна указка
3. Корпускулярно-хвильовий дуалізм
Класична фізика завжди чітко розмежовувала об’єкти, що мають хвильову природу (наприклад, світло й звук), і об’єкти, що мають дискретну корпускулярну структуру (наприклад, системи матеріальних точок). Одне з найзначніших досягнень сучасної фізики — переконання в помилковості протиставлень хвильових і квантових властивостей світла. Розглядаючи світло як потік фотонів, а фотони як кванти електромагнітного випромінювання, що мають одночасно хвильові й корпускулярні властивості, сучасна фізика змогла об’єднати, здавалося б, непримиренні теорії — хвильову й корпускулярну. У результаті виникло уявлення про корпускулярно-хвильовий дуалізм, що було покладено в основу всієї сучасної фізики.
Ø Корпускулярно-хвильовий дуалізм — прояв у поводженні того самого об'єкта як корпускулярних, так і хвильових властивостей.
Отже, квант світла — це не хвиля, але й не корпускула в розумінні Ньютона. Фотони — особливі мікрочастинки, енергія й імпульс яких (на відміну від звичайних матеріальних точок) виражаються через хвильові характеристики — частоту й довжину хвилі.
ПИТАННЯ ДО УЧНІВ У ХОДІ ВИКЛАДУ НОВОГО МАТЕРІАЛУ
Перший рівень
1. Як пов’язана енергія й маса в теорії відносності?
2. Чи може фотон перебувати в стані спокою в якій-небудь інерційній системі відліку?
3. Чи змінюється енергія фотона у разі переходу з одного середовища в інше?
Другий рівень
1. Порівняйте енергії фотонів, що відповідають зеленому й червоному світлу.
2. Назвіть відмітні властивості частинок речовини й частинок електромагнітного поля (фотонів).
3. Які хвильові і корпускулярні характеристики світла пов’язує формула Планка:
E = hv.
ЗАКРІПЛЕННЯ ВИВЧЕНОГО МАТЕРІАЛУ
1). Якісні питання
1. Наведіть приклади прояву корпускулярних і хвильових властивостей світла.
2. Порівняйте енергії фотонів інфрачервоного, ультрафіолетового й рентгенівського випромінювань.
2). Навчаємося розв'язувати задачі
1. Знайдіть імпульс фотона видимого світла, довжина хвилі у вакуумі якого 600 нм.
2. Знайдіть імпульс фотона ультрафіолетового випромінювання частотою 1,5·1015 Гц.
3. На поверхню твердого тіла нормально падає випромінювання лазера, довжина хвилі якого 660 нм. Який імпульс передає поверхні кожний фотон, що падає?
Розгляньте два випадки:
а) поверхня чорна;
б) поверхня дзеркальна.
ЩО МИ ДІЗНАЛИСЯ НА УРОЦІ
· Основні властивості фотона:
1. Є частинкою електромагнітного поля.
2. Рухається зі швидкістю світла.
3. Існує тільки в русі.
4. Зупинити фотон не можна: він або рухається зі швидкістю світла, або не існує.
· Люмінесценція — нетеплове світіння речовини, що відбувається після поглинання нею енергії збудження.
· Корпускулярно-хвильовий дуалізм — прояв у поводженні того самого об’єкта як корпускулярних, так і хвильових властивостей.
Домашнє завдання
1. Підр.: § 26 (п. 4).
2. 3б.:
Рів1 № 15.2; 15.4; 15.7; 15.9.
Рів2 № 15.25; 15.26; 15.28; 15.29.
Рів3 № 15.38, 15.39.
Перша публікація: 01/01/2008
Останнє оновлення: 31/12/2023
Редакційна та навчальна адаптація: Даний матеріал зведено на основі першоджерела/оригінального тексту. Команда проєкту здійснила редакційне оглядове опрацювання, виправлення технічних неточностей, структурування розділів та адаптацію змісту до навчального формату.
Що було опрацьовано:
- усунення форматних дефектів (OCR-помилки, розриви структури, дефектні символи);
- редакційне упорядкування змісту;
- уніфікація термінів відповідно до академічних джерел;
- перевірка відповідності фактичних тверджень тексту першоджерела.
Усі згадки про автора, рік видання та походження первинного тексту збережено відповідно до джерела.