УРОКИ ФІЗИКИ У 10 КЛАСІ.
МОЛЕКУЛЯРНА ФІЗИКА І ТЕРМОДИНАМІКА
ВЛАСТИВОСТІ ГАЗІВ, РІДИН, ТВЕРДИХ ТІЛ*
Урок № 11
Тема. Пароутворення і конденсація. Насичена й ненасичена пара
Мета: вдосконалити знання учнів про пароутворення й конденсацію, пояснити процеси пароутворення й конденсації на основі атомно-молекулярних і термодинамічних підходів; ввести поняття насиченої та ненасиченої пари, залежність насиченої пари від тиску.
Тип уроку: урок вивчення нового матеріалу.
Обладнання: вода, спирт, папір, олія.
Основні поняття: пароутворення, випаровування, конденсація, сублімація, швидкість випаровування, причини випаровування рідини та твердих тіл, насичена й ненасичена пара.
Той, хто базікає про природу, замість того,
щоб за допомогою експерименту і спостережень
примусити и говорити, ніколи не пізнає її.
Лише дослід знімає завісу з таємниць природи.
Галілео Галілей
ХІД УРОКУ
І. Актуалізація опорних знань

Вода свою путь бере зі струмка,
Струмки на шляху збирає ріка.
Ріка повноводно тече на просторі,
Аж поки вона не вливається в море.
Моря поповняють запас океану,
Над ним виникають клуби туману.
Здіймаються вгору — їх вже не дістати,
Бо хмарками в небі судилося стати.
Хмарки ж кучеряві, пропливши над нами,
Дощем проливаються, сиплють снігами.
Вода ж навесні у струмках заговорить,
І ті потечуть до річкових просторів
— Як називають описаний процес?
— У яких агрегатних станах може перебувати речовина?
— Описати процеси, названі на картинці: кристалізація, конденсація, пароутворення, плавлення, сублімація.
Слово вчителя. Навколо нас скрізь відбуваються взаємні перетворення рідини і пари. Рідини перетворюються в невидиму пару, тобто переходять у газоподібний стан; іноді, навпаки, виникають краплинки рідини, що утворюються з пари. В особливо великих розмірах відбуваються в природі і техніці взаємні перетворення водяної пари і води. Водяна пара утворюється не тільки на великих водних просторах поверхні Землі, а й на суходолі; вода безперервно випаровується з поверхні ґрунту, з листків рослин, зі шкіри та з легень тварин.
II. Вивчення нового матеріалу
Учитель. Процес перетворення речовин (рідин, твердих тіл) у газоподібний стан — пару — називається пароутворенням. Існує два види пароутворення:
✵ Випаровування (з вільної поверхні рідини, сублімація)
✵ Кипіння (по всьому об’єму рідини)
Пара — це газоподібний стан речовини, у який можуть переходити як рідини, так і тверді тіла.
Випаровування — процес перетворення рідини в пару.
Відбувається за будь-якої температури. Рідина під час випаровування охолоджується, оскільки її покидають «найшвидкіші» молекули, які знаходяться ближче до поверхневого шару. Кінетична енергія таких молекул достатньо велика, щоб вони змогли вилетіти з рідини, подолавши тяжіння решти молекул. Швидкості молекул рідини весь час змінюються через зіткнення. Хоча середня швидкість молекул і залишається незмінною, деякі молекули в результаті зіткнень можуть за рахунок інших молекул набувати швидкостей, що у декілька разів перевищують середнє значення. Саме ці молекули й вилітають з рідини під час випаровування. Оскільки рідину залишають найшвидші молекули, середня кінетична енергія молекул, що залишилися, зменшується, тобто рідина під час випаровування охолоджується. Чим швидше випаровується рідина, тим сильніше вона охолоджується.
Під час нагрівання рідини швидкість її випаровування збільшується, оскільки, чим вища температура рідини, тим більша середня кінетична енергія її молекул, а отже, тим більшим є число «швидких молекул», здатних вилетіти з рідини. Цією властивістю часто користуються, щоб прискорити висихання різних поверхонь. Чи означає це, що середня кінетична енергія молекул пари буде більшою, ніж середня кінетична енергія молекул рідини за тієї ж температури? Ні, не означає! Під час вилітання з рідини молекула гальмується силами молекулярного тяжіння з боку інших молекул рідини. Молекули, що в результаті вилітають, втрачають надлишок кінетичної енергії, і середня кінетична енергія молекул пари виявляється точно такою самою, як і середня кінетична енергія молекул рідини.
На що ж витрачається енергія, що підводиться до рідини, якщо кінетична енергія молекул не змінюється? Для того щоб «вирвати» молекулу з рідини, необхідно здійснити роботу. Але, здійснюючи роботу, ми збільшуємо потенціальну енергію, тобто повна енергія молекул пари за тієї ж температури більша за повну енергію молекул рідини. На «виривання» молекул з рідини й витрачається майже вся теплота, що підводиться до рідини.
Дослід. Яка речовина найшвидше випарується за однакових умов?
На папір нанести пензликом воду, спирт, олію.

Робота в групах
Завдання для 1-ї групи: дослідіть швидкість випаровування води, спирту, олії.
Завдання для 2-ї групи: дослідіть залежність швидкості випаровування від площі поверхні рідини. Для цього нанесіть піпеткою 2 краплини води на суху скляну пластину та пластинку, покриту парафіном.
Завдання 3-ї групи: дослідіть залежність швидкості випаровування від температури рідини. Для цього нанесіть на 2 скляні пластинки піпеткою 2 краплини води. Одну з цих пластинок нагрійте. Зробіть висновок.
Звіт груп: швидкість випаровування залежить від температури рідини, площі її поверхні, від роду речовини.
Запитання до класу
— Назвіть властивості випаровування.
1) Відбувається за будь-якої температури;
2) внаслідок вилітання найшвидших молекул речовина охолоджується;
3) залежить від температури, площі поверхні, наявності вітру, роду речовини, тиску, вологості;
4) існує зворотний процес — конденсація.
Слово вчителя. Кипіння — особливий вид випаровування. Вивчаючи кипіння у 8 класі, ми звертали увагу на зовнішні ознаки кипіння: дрібні бульбашки, що з’являються на поверхні води, лопаються, й пара, яка міститься в них, виходить в атмосферу. У разі досягнення рідиною певної температури, яку називають температурою кипіння, утворення пари починається не тільки з вільної поверхні, але й усередині рідини. Цікаво те, що коли вода нагріється до 100 °С і кипить, то скільки б часу ми не гріли воду, температура її не змінюватиметься. На що ж витрачається тепло, якщо температура води не змінюється? Процес перетворення води в пару потребує енергії. Порівняємо енергію грама води і грама утвореної з неї пари. Молекули пари розміщені далі одна від одної, ніж молекули води. Зрозуміло, що через це потенціальна енергія води відрізнятиметься від потенціальної енергії пари. Потенціальна енергія частинок, що притягуються, зменшується з їх зближенням. Тому енергія пари більша за енергію води, і перетворення води в пару потребує енергії.
Дослід. В алюмінієвій банці ємністю 0,33 л зробити за допомогою свердла отвір діаметром 2-3 мм. Злити через отвір газовану воду у склянку, залишивши в банці трохи води. Далі поставити банку на спиртівку. Після того як вода в банці закипить, зняти її зі спиртівки і закрити отвір корком. Через деякий час банка почне сплющуватись зі страшенним скреготом.
1. Чому банка сплющилась?
2. Навіщо було чекати кипіння води?
3. Чому, щоб краще пройшов дослід, треба хвилинку почекати під час кипіння води?
4. Чи можна повернути банці попередню форму?
Пояснення явища
Під час нагрівання і кипіння води майже все повітря з банки було витіснене водяною парою. Після того як банку зняли зі спиртівки і отвір закрили корком, водяна пара почала охолоджуватись і конденсуватись. Тиск у банці значно зменшився, і сила різниці тисків сплющила банку.
Відповіді на запитання:
1. Після того як банку зняли зі спиртівки і отвір закрили корком, водяна пара почала охолоджуватись, перетворюючись на рідину. Тиск у банці значно зменшився, і сила різниці тисків сплющила банку.
2. Під час кипіння інтенсивно утворюється водяна пара, яка у цьому досліді витісняє повітря з банки і потім конденсується.
3. Щоб у банці майже не залишилось повітря.
4. Теоретично це виглядає так. Треба поставити банку на спиртівку нагріватися. Вода закипить, і тиск водяної пари почне роздувати банку, надаючи їй попередньої форми. Але на практиці цього зробити не можна, тому що під час першої чи наступної деформації стінки банки не витримують — у місцях перегинів з’являються отвори, через які виходить пара.
Учитель. Якщо процес випаровування відбувається в закритій посудині, то через деякий час кількість рідини в посудині перестає зменшуватись, хоча швидкі молекули продовжують переходити в пару. Це пояснюється тим, що одночасно з випаровуванням у посудині відбувається конденсація. Якщо рівень рідини не змінюється, це означає, що обидва процеси тривають із однаковою швидкістю, тобто за кожну секунду рідину залишає в середньому стільки ж молекул, скільки їх переходить із пари в рідину. У такому випадку говорять, що рідина й пара перебувають в динамічній рівновазі. Такий стан являє собою тільки уявний спокій: наприклад, за кімнатної температури кожний квадратний сантиметр поверхні води щомиті «прострілюють» в обох напрямах 1022 молекул, що летять зі швидкостями артилерійських снарядів.
Пара, що перебуває в динамічній рівновазі зі своєю рідиною, називається насиченою. Саме така пара міститься над поверхнею рідини в закритій посудині.
Якщо процес випаровування йде швидше, ніж процес конденсації, говорять, що над рідиною міститься ненасичена пара.
Тиск пари р0, за якого рідина перебуває в рівновазі зі своєю парою, називається тиском насиченої пари.
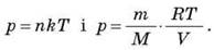
Оскільки взаємодією між молекулами пари можна знехтувати, то
Чи означає це, що тиск насиченої пари обернено пропорційний об’єму, який вона займає? Ні, не означає, тому що маса насиченої пари не залишається сталою у разі зміни об’єму. Для того щоб пара залишалася насиченою, її концентрація повинна залишатися незмінною. Тому маса пари змінюється пропорційно її об’єму, отже, тиск насиченої пари не залежить від об’єму.
Чим вищою є температура, тим більшим є тиск. Проте ця залежність р0(Т), встановлена експериментально, не є лінійною, як в ідеального газу за сталого об’єму. Зі збільшенням температури тиск насиченої пари підвищується швидше, ніж тиск ідеального газу. Тиск насиченої пари збільшується за рахунок підвищення концентрації молекул пари. Коли вся рідина випаровується, пара під час подальшого нагрівання перестане бути насиченою і її тиск за сталого об’єму зростатиме прямо пропорційно абсолютній температурі.
Отже, тиск насиченої пари залежить тільки від її хімічного складу й температури й не залежить від величини об’єму, який вона займає.
Досліди з водою показали, що за температури 374 °С перехід пара — рідина відбувається одним стрибком. Така температура називається критичною, а стан газу — критичним. У критичному стані газ і рідина не відрізнятимуться одне від одного. Якщо температура вища за критичну, то газ не можна перетворити в рідину за жодних тисків.
Властивості насиченої пари і умови кипіння застосовують у різних галузях:
1. Кипіння за високих температур: автоклави в медицині, харчовій промисловості, будівельній індустрії, парові двигуни.
2. Кипіння за низьких температур: цукрова промисловість (сушарні), у горах частіше смажать, ніж варять.
III. Узагальнення знань
Дослід (перед початком досліду встановити прозорий захисний екран!). Кругло-донну колбу заповнити наполовину водою. Довести її до кипіння. Припинити підігрівати і закрити колбу гумовим корком, перевернути догори дном і, підставивши під неї посудину, полити зі склянки холодною водою. Вода в колбі знову закипить.
— Чому вода в колбі закипіла?
— Чому для цього досліду краще брати кругло-донну колбу?
— Чому важко витягнути корок з колби після проведення досліду?
— Що відбуватиметься, якщо під час кипіння води в колбі закрити її корком?
Пояснення явища
Учням надається можливість висловити думки та допомогти пояснити явище на основі вивченого матеріалу.
1. Охолоджувалась не тільки вода, а й стінки колби. Внаслідок цього водяна пара, що була в колбі, частково сконденсувалась. Це спричинило зниження тиску в колбі. Як відомо, вода закипає за температур, нижчих за 100 °С, якщо тиск менший за атмосферний.
2. У цьому досліді відбуваються значні перепади тисків. Як відомо, кругло-подібні форми добре витримують тиск і внутрішні механічні напруги.
3. Під дією сили різниці тисків, атмосферного і в колбі, пробка сильно закупорює колбу. Щоб її витягнути, треба знову нагріти воду до кипіння.
4. Кипіння припиниться, тому що в колбі почне зростати тиск.
IV. Підсумок уроку
Пояснити:
а) подібність між насиченою парою й ідеальним газом;
б) відмінність між ними.
Розв’язати задачу: у 10 л повітря за температури 30 °С міститься 0,2 г водяної пари. Яка кількість пари сконденсується, якщо за сталої температури зменшити об’єм повітря удвічі?
V. Домашнє завдання
1. Якою є густина насиченої пари за температури 100 °С?
2. До якого значення треба знизити тиск, щоб вода кипіла за температури 90 °С? За температури 50 °С?
Перша публікація: 01/01/2008
Останнє оновлення: 31/12/2023
Редакційна та навчальна адаптація: Даний матеріал зведено на основі першоджерела/оригінального тексту. Команда проєкту здійснила редакційне оглядове опрацювання, виправлення технічних неточностей, структурування розділів та адаптацію змісту до навчального формату.
Що було опрацьовано:
- усунення форматних дефектів (OCR-помилки, розриви структури, дефектні символи);
- редакційне упорядкування змісту;
- уніфікація термінів відповідно до академічних джерел;
- перевірка відповідності фактичних тверджень тексту першоджерела.
Усі згадки про автора, рік видання та походження первинного тексту збережено відповідно до джерела.