Відповіді до підручника Фізика 8 клас - Бар’яхтар В. Г. 2016-2020
Розділ 2. Електричні явища
Вправа № 25
1. а) Під час заряджання акумулятора електрична енергія перетворюється на хімічну енергію, б) Під час роботи акумулятора (він при цьому розряджається) хімічна енергія перетворюється на електричну енергію.
2. Щоб підтримувати різнойменні заряди на двох електрометрах, з’єднаних провідним стрижнем, слід один електрометр з’єднати з позитивним полюсом джерела струму, а інший — з негативним полюсом. При цьому по стрижню тектиме електричний струм.
3. Механічна енергія падаючої води перетворюється на електричну енергію.
4. Різні метали мають неоднакові властивості. Для гальванічних елементів вибирають якраз такі матеріали, щоб на одній пластині виникав позитивний заряд, а на іншій — негативний. Якщо ж метали будуть однакові, то пристрій не працюватиме (він не буде джерелом електричного струму, тому його не слід називати гальванічним елементом).
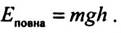
6.
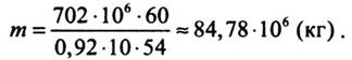
Дано: Nкор = 702 МВт = 702 • 106 Вт h = 54 м t = 1 хв = 60 с
|
ККД електростанції
Перевіримо одиницю вимірювання:
84,78 •106 кг = 84,78 • 103т. |
Знайти: m — ? |
Відповідь: ![]()
Перша публікація: 01/01/2016-2020
Останнє оновлення: 31/12/2023
Редакційна та навчальна адаптація: Даний матеріал зведено на основі першоджерела/оригінального тексту. Команда проєкту здійснила редакційне оглядове опрацювання, виправлення технічних неточностей, структурування розділів та адаптацію змісту до навчального формату.
Що було опрацьовано:
- усунення форматних дефектів (OCR-помилки, розриви структури, дефектні символи);
- редакційне упорядкування змісту;
- уніфікація термінів відповідно до академічних джерел;
- перевірка відповідності фактичних тверджень тексту першоджерела.
Усі згадки про автора, рік видання та походження первинного тексту збережено відповідно до джерела.
