Розв’язання вправ та завдань до підручника «ГЕОМЕТРІЯ» A. Г. Мерзляк 7 клас - 2015 рік
§ 1. Найпростіші геометричні фігури та їхні властивості
2. Відрізок і його довжина
Практичні завдання
20. Точки С, D, Е належать відрізку AB, а точки F, M, K не належать відрізку АВ.
![]()
21. Утворилося три відрізки АВ, ВС, АС.
![]()
22. Точка С лежить між точками А і В, а точка D — між точками В і С.
![]()
23. АС = АВ + ВС.
![]()
24. 1) АВ = CD; 2) АВ = CD; 3) AB = CD.
25. AB = ВС.
Вправи
26. а) AB, ВС, АС, BK; б) ОТ, OR, OP, PT, PR, RT; в) AD, AC, AE, ED, EC, CD; г) ME, EQ, MN, MQ, QF, NE, EP, NP.
27. 1) Якщо одиничний відрізок дорівнює відрізку AB, то AB = 1, CD = 2, MN = 3, KP = 5, EF = 6, ST = 8.
2) Якщо одиничний відрізок дорівнює відрізку MN, то AB = 1/3, CD = 2/3, MN = 1, КР = 1∙2/3, EF = 2, ST = 2∙2/3.
28. Точка Е лежить між точками М i Р. МР = МE + EР.
29. Точка В лежить між точками А і С, а також між точками А і D.
Якщо В лежить між А і С, то справедлива рівність АС = АВ + ВС.
Якщо В лежить між А і D, то справедлива рівність AD = AB + BD.
30. 1) Якщо В — внутрішня точка відрізка ME, то виконується рівність ME = MD + DE, тоді ME = 1,8 + 2,6 = 4,4 (дм).
Відповідь: 4,4 дм.
2) Якщо D — внутрішня точка відрізка ME, то виконується рівність ME = MD + DE, тоді MD = ME - DE = 42 мм —1,5 CM = 4,2 CM — 1,5 CM = 2,7 (CM).
Відповідь: 2,7 CM.
31. 1) Оскільки точка В — внутрішня точка відрізка АС, то рівність AB + ВС = АС — правильна.
2) Оскільки точка В — внутрішня точка відрізка АС, то рівність АС + АВ = ВС — неправильна.
32. 1) Оскільки точка К — середина відрізка MN, то МК = КN і відрізки МК і KN можна сумістити накладанням.
2) Оскільки точка К — середина відрізка MN, то МК = 1/2MN і відрізки МК і MN не можна сумістити накладанням.
![]()
33. Оскільки Е — середина відрізка KN, то KN = 2EN = 2 x 5 = 10 (см), і тоді МК = KN = 10 (см), ME = МК + КЕ = 10 + 5 = 15 (см), MN = 2МК = 2 х 10 = = 20 (см).
Відповідь: 10 см, 15 см, 20 см.
![]()
34. 1) 1-й спосіб.
Якби відрізок АС був такий, як відрізок ВС, тоді подвоєна довжина відрізка ВС дорівнювала б 20 - 5 = 15 (см), а відрізок ВС дорівнював би 15 : 2 = 7,5 (см), тоді АС = ВС + 5 = 7,5 + 5 = 12,5 (см).
Відповідь: ВС = 7,5 см; АС = 12,5 см.
2-й спосіб.
Нехай ВС = х см, тоді АС = х + 5 (см). Враховуючи, що точка С — внутрішня точка відрізка AB, маємо АС + ВС = AB або х + х + 5 = 20, звідси 2х + 5 = 20; 2х = 20 - 5; 2х = 15; х = 15 : 2; х = 7,5. Отже, ВС = 7,5 см, АС = 7,5 + 5 = 12,5 (см).
Відповідь: ВС = 7,5 см; АС =12,5 см.

2) 1-й спосіб.
Якщо відрізок ВС прийняти за одиничний відрізок, то АС = 4ВС, тобто відрізок АС буде становити чотири одиничних відрізки, а відрізок AB становитиме п’ять одиничних відрізків. Тоді довжина одиничного відрізка, тобто довжина відрізка ВС, дорівнює 20 : 5 = 4 (см) і тоді АС = 4 x 4 = 16 (см).
Відповідь: 16 см і 4 см.
2-й спосіб.
Нехай ВС = х см, тоді АС = 4х см. Враховуючи, що точка С — внутрішня точка відрізка AB, маємо: АС + ВС = AB або х + 4х = 20, звідси 5х = 20; х = 20 : 5; х = 4. Отже, ВС = А см, а АС = 4 х 4 = 16 (см).
Відповідь: 16 см і 4 см.
![]()
3) Нехай АС = 9х см, тоді ВС = 11х см. Оскільки точка С — внутрішня точка відрізка AB, то маємо: АС + ВС = АВ, або 9х + 11х = 20, звідси 20х = 20; х = 20 : 20; х = 1, тоді 9х = 9 х 1 = 9 (см), 11х = 11 x 1 = 11 (см). Отже, АС = 9 см, ВС = 11 см.
Відповідь: 9 см і 11 см.
35. 1) Нехай СК = х см, тоді KD = х + 4 см. Оскільки точка К — внутрішня точка відрізка CD, то маємо: CK + KD = CD або х + х + 4 = 28, звідси 2х + 4 = 28; 2х = 28 - 4; 2х = 24; х = 24 : 2; х = 12, тоді х + 4 = 12 + 4= 16. Отже, СК = 12 см, KD= 16 см.

Відповідь: 12 см і 16 см.
2) Нехай KD = х см, тоді СК = 6х см. Оскільки точка К — внутрішня точка відрізка CD, то маємо: СК + KD = CD або 6х + х = 28, звідси 7х = 28; х = 28 : 7; х = 4, тоді 6х = 6 х 4 = 24. Отже, СК = 24 см, KD = 4 см.
![]()
Відповідь: 24 см і 4 см.
3) Нехай СК = 3х см, тоді KD = 4х см. Оскільки точка К — внутрішня точка відрізка CD, то маємо СК + KD = CD або 3х + 4х = 28. Звідси 7х = 28; х = 28 : 7; х = 4, тоді 3х = 3 x 4 = 12, 4х = 4 x 4 = 16. Отже, СК = 12 см,KD = 16 см.
![]()
Відповідь: 12 см і 16 см.
36. За умовою задачі AB = CD. Від лівої і правої частин рівності віднімемо ВС, тоді одержимо AB - ВС = CD - ВС, звідси АС = BD (оскільки AB - ВС = АС, CD - ВС = BD). Що і треба було довести.
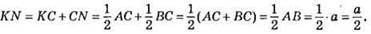
37. За умовою задачі ME = FN. До лівої і правої частин рівності додаємо EF, тоді одержимо ME + EF = FN + EF, звідси MF = EN (оскільки ME + EF = MF, FN + EF = EN), що і треба було довести.
38. Нехай AB = а, К — середина відрізка АС (тобто AK = KC), N — середина відрізка ВС (тобто CN = NB). Тоді ![]()
![]()
Відповідь: a/2.
39. 1-й випадок (точка А лежить між точками В і С), тоді ВС = AB + АС = 24 см + 32 см = 56 см.
![]()
2-й випадок (точка В лежить між точками А і С), тоді ВС = АС - AB = 32 см - 24 см = 8 см.
![]()
Відповідь: 8 см або 56 см.
40. 1-й випадок (точка А лежить між точками В і С). Нехай М і N — середини відрізків АС і AB, тоді ![]()
![]()
2-й випадок (точка С лежить між точками А і В). Нехай М і N — середини відрізків AB i АС, тоді ![]()
![]()
Відповідь: 3 см або 12 см.
41. 1) Для будь-якої точки А відрізка EF маємо: ЕА + AF = EF = 12 см. Отже, умову задовольняють усі точки відрізка EF.
![]()
2) На прямій існує лише дві точки, що задовольняють умову задачі: AE + EF = 1,5 + (12 + 1,5) = 15 (см); BF + BE = 1,5 + (12 + 1,5) = 15 (см).
![]()
3) На прямій EF таких точок не існує, оскільки: якщо точка належить відрізку EF, то сума відстаней від цієї точки до кінців відрізка дорівнює 12 см; якщо точка лежить поза відрізком EF, то сума відстаней від цієї точки до кінців відрізка більша 12 см.
![]()
Відповідь: 1) усі точки відрізка EF; 2) лише дві точки; 3) таких точок не існує.
42. Точка С може лежати на відрізку АВ так, що АС : ВС = 1 : 2.
![]()
Точка С може лежати поза відрізком AB так, що точка А є серединою відрізка ВС.
![]()
43. Нехай відрізок AB поділений точками С і D на три нерівних відрізка АС, CD, DB; точки М I N — середини відрізків АС і DB. Тоді за умовою задачі AB = 32 см, MN = 18 см, звідси AM + NB = AB - MN = 32 - 18 = 14 (см), тоді АС + DB = 2AM + 2 NB = 2 (AM + NB) = 2 x 14 = 28 (см) i CD = AB - (AC + DB) = 32 - 28 = 4 (CM).
![]()
Відповідь: 4 см.
44. a) 4 точки;

б) 3 точки.

в) 4 точки;

г) 3 точки.

45. Між точками А і В слід розмістити дві точки С і D, щоб утворилося шість відрізків: AB, АС, AD, CD, CB, DB.
![]()
Відповідь: 2 точки.
46. 1) Відкладемо від точки А на прямій відрізок 13 см і у зворотному напрямі два відрізки по 5 см, тоді AB = 13 — 2 x 5 = 3 (см).

2) Відкладемо від точки А на прямій три відрізки по 5 см і у зворотному напрямі один відрізок в 13 см, тоді AB = 5 x 3 — 13 = 15 - 13 = 2 (см).

3) Відкладемо від точки А по прямій два відрізки по 13 см і в зворотному напрямі 5 відрізків по 5 см, тоді AB = 2 x 13 — 5 x 5 = 1 (см).

47. 1) Відкладемо від точки А по прямій два відрізки по 11 см і у зворотному напрямі два відрізки по 7 см, тоді AB = 11 х 2 — 7 x 2 = 8 (см).

2) Відкладемо від точки А по прямій 3 відрізки по 11 см і у зворотному напрямі 4 відрізки по 7 см, тоді AB = 11 x 3 — 7 x 4 = 5 (см).

48. Із прямокутників 1x1, 1x2, 1x3, ..., 1x13 складемо прямокутник 13x7.

Перша публікація: 01/01/2015
Останнє оновлення: 31/12/2023
Редакційна та навчальна адаптація: Даний матеріал зведено на основі першоджерела/оригінального тексту. Команда проєкту здійснила редакційне оглядове опрацювання, виправлення технічних неточностей, структурування розділів та адаптацію змісту до навчального формату.
Що було опрацьовано:
- усунення форматних дефектів (OCR-помилки, розриви структури, дефектні символи);
- редакційне упорядкування змісту;
- уніфікація термінів відповідно до академічних джерел;
- перевірка відповідності фактичних тверджень тексту першоджерела.
Усі згадки про автора, рік видання та походження первинного тексту збережено відповідно до джерела.