Хімія - універсальний довідник
ВУГЛЕЦЬ І ЙОГО СПОЛУКИ
ГІДРОЛІЗ СОЛЕЙ
У нейтральних розчинах, тобто за відсутності кислот і лугів, у результаті дисоціації (дуже слабкої) води утворюються однакові кількості іонів Н+ і ОН-:
![]()
Додавання до води кислоти збільшує концентрацію іонів Н+ і, зміщуючи рівновагу дисоціації води вліво, знижує концентрацію іонів ОН-. Отже, кислий розчин містить більше іонів Гідрогену, ніж гідроксид-іонів.
Аналогічно додавання лугу, створюючи лужне середовище, зумовлює те, що концентрація іонів ОН- перевищує концентрацію іонів Н+.
Таким чином, кислотність (лужність) розчину залежить від відносних кількостей іонів Н+ і ОН-. Якщо їх рівність порушується, розчин набуває певного середовища. Це може відбуватися не тільки при введенні в розчин кислот або лугів.
Якщо до складу солі входить іон слабкої кислоти, то він взаємодіє з водою, приєднуючи Іони Н+ і збільшуючи тим самим концентрацію іонів ОН-, тобто створюючи лужне середовище.
Наприклад, при розчиненні у воді соди Nа2СO3 у розчині з’являються іони Nа+ і СO32- :
![]()
Іон СО32- взаємодіє з водою:
![]()
оскільки карбонатна кислота Н2СО3 — слабкий електроліт; ще меншою мірою дисоціює гідрокарбонат-іон НСО3-.
Другий запис є скороченим іонним рівнянням реакції гідролізу карбонату натрію. Такий запис наочно показує зміну реакції (кисла або лужна) розчину.
Реакції гідролізу оборотні, тому що і серед реагентів, і серед продуктів є слабкі електроліти. А оскільки вода є одним з найслабших електролітів, у переважній більшості випадків рівновага гідролізу сильно зміщена вліво.
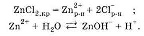
При взаємодії з водою солі, до складу якої входить катіон слабкої основи, останній взаємодіє з водою, утворюючи слабкий електроліт і зв’язуючи при цьому іони ОН-. Розчин такої солі — кислий. Наприклад, у водному розчині хлориду цинку відбуваються процеси:

Таким чином, гідролізу піддаються ті іони солі, які входять до складу слабких кислот або слабких основ. Іншими словами, гідролізуються солі, утворені слабкою кислотою і сильною основою (тоді утворюється лужний розчин, наприклад, у випадку соди) або сильною кислотою і слабкою основою (тоді утворюється кислий розчин, як, наприклад, у випадку хлориду цинку).
Якщо сіль утворена слабкою основою і слабкою кислотою, то в реакцію з водою водночас вступають обидва іони солі, гідроліз стає необоротним, тобто сіль розкладається водою. Наприклад, сульфід алюмінію Аl2S3 — сіль, утворена слабкою основою Аl(ОН)3 і слабкою сульфідною кислотою Н2 S, при сполученні з водою розкладається:
![]()
Щодо таких солей недоречне питання про їх розчинність у воді (у таблиці розчинності речовин у воді у відповідних місцях ви можете побачити прочерки).
Перша публікація: 01/01/2008
Останнє оновлення: 31/12/2023
Редакційна та навчальна адаптація: Даний матеріал зведено на основі першоджерела/оригінального тексту. Команда проєкту здійснила редакційне оглядове опрацювання, виправлення технічних неточностей, структурування розділів та адаптацію змісту до навчального формату.
Що було опрацьовано:
- усунення форматних дефектів (OCR-помилки, розриви структури, дефектні символи);
- редакційне упорядкування змісту;
- уніфікація термінів відповідно до академічних джерел;
- перевірка відповідності фактичних тверджень тексту першоджерела.
Усі згадки про автора, рік видання та походження первинного тексту збережено відповідно до джерела.